精英家教网 > 高中数学 > 题目详情

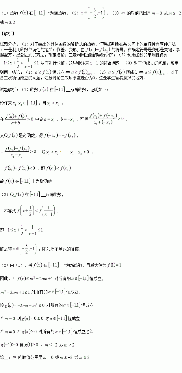
(本小题满分12分)已知是定义在上的奇函数,且,若时,有成立.

(1)判断上的单调性,并证明;

(2)解不等式:

(3)若对所有的恒成立,求实数的取值范围.

练习册系列答案
相关习题

科目:高中数学 来源:2015-2016学年辽宁师范大学附属中学高二10月月考数学试卷(解析版) 题型:选择题

关于x的不等式x2-(a+1)x+a<0的解集中,恰有3个整数,则a的取值范围是 ( )

A.(4,5) B.(-3,-2)∪(4,5)

C.(4,5] D.[-3,-2)∪(4,5]

查看答案和解析>>

科目:高中数学 来源:2015-2016学年甘肃省嘉峪关市高二上学期期中考试理科数学试卷(解析版) 题型:选择题

对于任意实数给定下列命题正确的是( )

A.若,则 B.若,则

C.若 D.若

查看答案和解析>>

科目:高中数学 来源:2016届山东省高三第二次诊断性考试理科数学试卷(解析版) 题型:解答题

(本小题满分12分)

已知命题方程上有解,命题只有一个实数满足不等式,若命题“”是假命题,求实数的取值范围.

查看答案和解析>>

科目:高中数学 来源:2016届河南省原名校高三上学期第一次联考文科数学试卷(解析版) 题型:填空题

设函数内可导,且,则

查看答案和解析>>

科目:高中数学 来源:2015-2016学年浙江省宁波市高一上期中数学试卷(解析版) 题型:选择题

已知函数均为奇函数,在区间上有最大值5,那么上的最小值为( )

A. B. C. D.

查看答案和解析>>

科目:高中数学 来源:2015-2016学年湖北省高二上期中文科数学试卷(解析版) 题型:选择题

,若,则( )

A. B. C. D.

查看答案和解析>>

科目:高中数学 来源:2015-2016学年湖北省枣阳市高二10月月考理科数学试卷(解析版) 题型:填空题

连续3次抛掷一枚质地均匀的硬币,在至少有一次出现正面向上的条件下,恰有一次出现反面向上的概率为

查看答案和解析>>

科目:高中数学 来源:2014-2015学年上海市高一下学期期末考试数学试卷(解析版) 题型:选择题

有穷数列,…,中的每一项都是,0,1这三个数中的某一个数,若+++…+=425,且+++…+=3870,则有穷数列,…,中值为0的项数是 ( )

A. B. C. D.

查看答案和解析>>

同步练习册答案