精英家教网 > 高中数学 > 题目详情

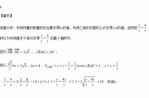
已知内的一点,且,若的面积分别为,则的最小值是( )

A. B. C. D.

练习册系列答案
相关习题

科目:高中数学 来源:2016届山东省高三10月月考理科数学试卷(解析版) 题型:选择题

已知函数的导函数为,且满足,则( )

A. B. C. D.

查看答案和解析>>

科目:高中数学 来源:2016届黑龙江省牡丹江市高三10月月考理科数学试卷(解析版) 题型:解答题

(本小题满分12分)已知函数是定义在上的奇函数,且时,

(1)求的解析式;

(2)当时,不等式恒成立,求实数的取值范围.

查看答案和解析>>

科目:高中数学 来源:2016届河北省高三上学期三调考试文科数学试卷(解析版) 题型:选择题

三个正数满足,则的取值范围是( )

A. B. C. D.

查看答案和解析>>

科目:高中数学 来源:2016届河北省高三上学期三调考试理科数学试卷(解析版) 题型:选择题

如图所示的图形是由一个半径为2的圆和两个半径为1的半圆组成,它们的圆心分别是,动点点出发沿着圆弧按的路线运动(其中五点共线),记点运动的路程为,设,的函数关系为,则的大致图象是( )

查看答案和解析>>

科目:高中数学 来源:2016届河北省高三二调理科数学试卷(解析版) 题型:选择题

定义在上的单调函数,则方程的解所在区间是( )

A. B. C. D.

查看答案和解析>>

科目:高中数学 来源:2015-2016学年广东中山一中高二上第一次段考文科数学卷(解析版) 题型:选择题

在△中,若,则△的形状为( )

A.等腰三角形

B.直角三角形

C.等腰直角三角形

D.等腰三角形或直角三角形

查看答案和解析>>

科目:高中数学 来源:2015-2016学年黑龙江省牡丹江市高一上学期9月月考数学试卷(解析版) 题型:选择题

已知,集合,则 ( )

A、 B、 C、 D、

查看答案和解析>>

科目:高中数学 来源:2015-2016学年广东省清远市实验学校高二10月月考数学试卷(解析版) 题型:填空题

在等差数列{an}中,若,则a5的值为

查看答案和解析>>

同步练习册答案