精英家教网 > 高中数学 > 题目详情

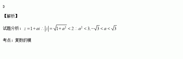
如果复数,满足条件,那么实数a的取值范围是:

A. B.(-2,2) C.(-1,1) D.

练习册系列答案
相关习题

科目:高中数学 来源:2014-2015学年江西省高二下学期第一次月考文科数学试卷(解析版) 题型:解答题

双曲线C与椭圆+=1有相同焦点,且经过点(4,).

(1)求双曲线的方程;

(2)若F1,F2是双曲线C的两个焦点,点P在双曲线C上,且∠F1PF2=60°,求△F1PF2的面积.

查看答案和解析>>

科目:高中数学 来源:2014-2015学年湖南省高一下学期第一次月考数学试卷(解析版) 题型:解答题

已知函数图象上一个最高点为P(2,2),由这个最高点到相邻最低点间的曲线与X轴相交于点Q(6,0)。

(1)求这个函数的解析式;

(2)写出这个函数的单调区间。

查看答案和解析>>

科目:高中数学 来源:2014-2015学年湖南省高一下学期第一次月考数学试卷(解析版) 题型:选择题

下列函数中,最小正周期为的是( )

A. B.

C. D.

查看答案和解析>>

科目:高中数学 来源:2014-2015学年河北省高二下学期第一次月考文科数学试卷(解析版) 题型:填空题

古希腊数学家把1,3,6,10,15,21······叫做三角数,它有一定的规律性,则第30个三角数

减去第28个三角数的值为 .

查看答案和解析>>

科目:高中数学 来源:2014-2015学年河北省高二下学期第一次月考文科数学试卷(解析版) 题型:选择题

设点对应的复数为,以原点为极点,实轴正半轴为极轴建立极坐标系,

则点的极坐标可能为( )

A.(3,) B.(3,) C.() D.(,

查看答案和解析>>

科目:高中数学 来源:2014-2015学年广东省清远市高二下学期3月考理科数学试卷(解析版) 题型:解答题

已知

(Ⅰ)求函数的单调区间;

(Ⅱ)求函数上的最小值;

(Ⅲ)对一切的恒成立,求实数的取值范围.

查看答案和解析>>

科目:高中数学 来源:2014-2015学年广东省清远市高二下学期3月考理科数学试卷(解析版) 题型:选择题

函数的递增区间是( )

A. B. C. D.

查看答案和解析>>

科目:高中数学 来源:2014-2015学年广东省揭阳市高二下学期第一次段考理科数学试卷(解析版) 题型:选择题

已知命题,则( )

A.

B.

C.

D.

查看答案和解析>>

同步练习册答案