精英家教网 > 高中数学 > 题目详情
已知函数
(1)求函数f(x)的最小正周期;
(2)当时,求的值。
解:(1)由题设有
所以函数f(x)的最小正周期是
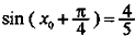
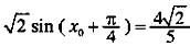
(2)由

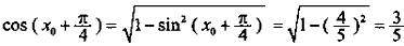
因为
所以
从而
于是

练习册系列答案
相关习题

科目:高中数学 来源: 题型:

已知函数y=
x2-1,x<-1
|x|+1,-1≤x≤1
3x
+3,x>1
编写一程序求函数值.

查看答案和解析>>

科目:高中数学 来源:2013-2014学年山东省青岛市高三3月统一质量检测考试(第二套)理科数学试卷(解析版) 题型:解答题

已知函数

1的最

2当函数自变量的取值区间与对应函数值的取值区间相同时,这样的区间称为函数的保值区间.,试问函数上是否存在保值区间?若存在,请求出一个保值区间;若不存在,请说明理由.

 

查看答案和解析>>

科目:高中数学 来源:2014届湖南省高一12月月考数学 题型:解答题

(本题满分14分)定义在D上的函数,如果满足;对任意,存在常数,都有成立,则称是D上的有界函数,其中M称为函数的上界。

已知函数

(1)当时,求函数上的值域,并判断函数上是否为有界函数,请说明理由;

(2)若函数上是以3为上界函数值,求实数的取值范围;

(3)若,求函数上的上界T的取值范围。

 

查看答案和解析>>

科目:高中数学 来源: 题型:解答题

已知函数数学公式
(1)求函数f(x)的最小正周期;
(2)求函数f(x)在区间数学公式上的函数值的取值范围.

查看答案和解析>>

科目:高中数学 来源:2012-2013学年江苏省徐州市铜山县棠张中学高三(上)周练数学试卷(理科)(11.3)(解析版) 题型:解答题

已知函数
(1)求函数f(x)的最小正周期;
(2)求函数f(x)在区间上的函数值的取值范围.

查看答案和解析>>

同步练习册答案