精英家教网 > 高中数学 > 题目详情
已知函数
(Ⅰ)若点(1,)在函数图象上且函数在该点处的切线斜率为,求的极大值;
(Ⅱ)若在区间[-1,2]上是单调减函数,求的最小值。
(Ⅰ)∵,                                    
∴ 由题意可知:,                          
得:,                             
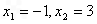
 ∴,,
,由此可知

当x=-1时, f(x)取极大值                                    
(Ⅱ) ∵在区间[-1,2]上是单调减函数,
在区间[-1,2]上恒成立.                    
根据二次函数图象可知
即:也即                              
作出不等式组表示的平面区域如下图:                                  
当直线经过交点P(-, 2)时,
 取得最小值,                          
取得最小值为                
练习册系列答案
相关习题

科目:高中数学 来源: 题型:

已知函数,其中,若的图象关于直线对称,且的最大值为2.

⑴求的值; ⑵如何由的图象得到的图象?

查看答案和解析>>

科目:高中数学 来源:2013-2014学年山东省青岛市高三统一质量检测考试理科数学试卷(解析版) 题型:填空题

已知函数,若对任意的,都有成立,则实数的取值范围为 .

 

查看答案和解析>>

科目:高中数学 来源:2013-2014学年山东省德州市高三上学期1月月考考试文科数学试卷(解析版) 题型:解答题

已知函数.

(Ⅰ)若点在角的终边上,求的值;(Ⅱ)若,求的值域.

 

查看答案和解析>>

科目:高中数学 来源:2014届陕西省高二下学期期中考试文科数学试卷(解析版) 题型:解答题

已知函数

(Ⅰ)若曲线在点处的切线与直线平行,求出这条切线的方程;

(Ⅱ)若,讨论函数的单调区间;

(Ⅲ)对任意的,恒有,求实数的取值范围.

 

查看答案和解析>>

科目:高中数学 来源:2013届浙江省第二学期高二月考理科数学试卷(解析版) 题型:解答题

已知函数.

(Ⅰ)若曲线处的切线方程为,求实数的值;

(Ⅱ)讨论函数的单调性;

(Ⅲ)若,且对任意,都有,求的取值范围.

 

查看答案和解析>>

同步练习册答案