精英家教网 > 高中数学 > 题目详情
表面积为的正八面体的各个顶点都在同一个球面上,则此球的体积为( )
A.
B.
C.
D.
【答案】分析:设出正八面体的边长,利用表面积,求出边长,然后求球的直径,再求体积.
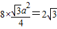
解答:解:此正八面体是每个面的边长均为a的正三角形,所以由知,a=1,
则此球的直径为,球的体积为
故选A.
点评:本题考查学生空间想象能力,逻辑思维能力,正八面体的外接球的体积,是中档题.
练习册系列答案
相关习题

科目:高中数学 来源: 题型:

表面积为的正八面体的各个顶点都在同一个球面上,则此球的体积为(    )

A.π         B.                  C.          D.

查看答案和解析>>

科目:高中数学 来源: 题型:

表面积为的正八面体的各个顶点都在同一个球面上,则此球的体积为(    )

A.             B.               C              D

查看答案和解析>>

科目:高中数学 来源: 题型:

表面积为的正八面体的各个顶点都在同一个球面上,则此球的体积为(    )

A.π         B.                  C.          D.

查看答案和解析>>

科目:高中数学 来源: 题型:

表面积为 的正八面体的各个顶点都在同一个球面上,则此球的体积为

 A.               B.     C.            D.

查看答案和解析>>

科目:高中数学 来源:2010-2011学年山东省兖州市高三第三次模拟考试理科数学卷 题型:选择题

表面积为 的正八面体的各个顶点都在同一个球面上,则此球的体积为

A.            B.              C.           D.

 

查看答案和解析>>

同步练习册答案