精英家教网 > 高中数学 > 题目详情
函数f(x)=1-2a-2acosx-2sin2x的最小值为g(a),a∈R,
(1)求g(a);
(2)若g(a)=,求a及此时f(x)的最大值.
【答案】分析:(1)利用同角三角函数间的基本关系化简函数解析式后,分三种情况:①小于-1时②大于-1而小于1时③大于1时,根据二次函数求最小值的方法求出f(x)的最小值g(a)的值即可;(2)把代入到第一问的g(a)的第二和第三个解析式中,求出a的值,代入f(x)中得到f(x)的解析式,利用配方可得f(x)的最大值.
解答:解:(1)f(x)=1-2a-2acosx-2(1-cos2x)
=2cos2x-2acosx-1-2a
=2(cosx-2--2a-1.
<-1,即a<-2,则当cosx=-1时,f(x)有最小值g(a)=2(-1-2--2a-1=1;
若-1≤≤1,即-2≤a≤2,则当cosx=时,f(x)有最小值g(a)=--2a-1;
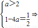
>1,即a>2,则当cosx=1时,f(x)有最小值g(a)=2(1-2--2a-1=1-4a.
∴g(a)=
(2)若g(a)=,由所求g(a)的解析式知只能是--2a-1=或1-4a=
a=-1或a=-3(舍).由a=(舍).
此时f(x)=2(cosx+2+,得f(x)max=5.
∴若g(a)=,应a=-1,此时f(x)的最大值是5.
点评:考查学生会利用二次函数的方法求三角函数的最值,要求学生掌握余弦函数图象的单调性.
练习册系列答案
相关习题

科目:高中数学 来源: 题型:

已知函数f(x)=
1-2|x-
1
2
|,0≤x≤1
log2013x,    x>1
,若方程f(x)=m有三个不等实根x1、x2、x3,则x1+x2+x3的取值范围是
(2,2014)
(2,2014)

查看答案和解析>>

科目:高中数学 来源: 题型:

(2007•宝山区一模)已知函数f(x)=1-2-x(x∈R).
(1)求y=f(x)的反函数y=f-1(x);
(2)求不等式2log2(x+1)+f-1(x)≥0的解集.

查看答案和解析>>

科目:高中数学 来源: 题型:解答题

已知函数f(x)=1-2-x(x∈R).
(1)求y=f(x)的反函数y=f-1(x);
(2)求不等式2log2(x+1)+f-1(x)≥0的解集.

查看答案和解析>>

科目:高中数学 来源:2008年上海市宝山区高考数学一模试卷(解析版) 题型:解答题

已知函数f(x)=1-2-x(x∈R).
(1)求y=f(x)的反函数y=f-1(x);
(2)求不等式2log2(x+1)+f-1(x)≥0的解集.

查看答案和解析>>

科目:高中数学 来源:宝山区一模 题型:解答题

已知函数f(x)=1-2-x(x∈R).
(1)求y=f(x)的反函数y=f-1(x);
(2)求不等式2log2(x+1)+f-1(x)≥0的解集.

查看答案和解析>>

同步练习册答案