精英家教网 > 高中数学 > 题目详情
某人在一山坡P处观看对面山顶上的一座铁塔,如图所示,塔高BC=40(米),塔所在的山高OB=290(米),OA=210(米),图中所示的山坡可视为直线l且点P在直线l上,l与水平地面的夹角为α,.试问此人距水平地面多高时,观看塔的视角∠BPC最大(不计此人的身高).

【答案】分析:先建立直角坐标系,则依题意可知A,B,C的坐标,进而可得直线l的方程.设点P的坐标为(x,y)进而可求直线PC和PB的斜率,直线PC到直线PB的角的公式可得到tanBPC关于x的表达式,再由均值不等式求tanBPC最大.进而得出此时点P的纵坐标,即可得到答案.
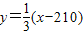
解答:解:如图建立直角坐标系,则A(210,0),B(0,290),C(0,330)
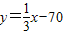
直线l的方程为
设P(x,y)为直线l上一点.(y>0)
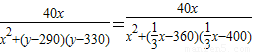
…(4分)==…(8分)
当且仅当即x=360时取等号…(10分)
此时∴当此人距水平地面50米时,观看塔的视角最大…(13分)
点评:本题主要考查解三角形的实际运用.有些问题需要建立直角坐标系,利用解析几何的方法来解决.
练习册系列答案
相关习题

科目:高中数学 来源: 题型:

精英家教网某人在一山坡P处观看对面山项上的一座铁塔,如图所示,塔及所在的山崖可视为图中的竖线OC,塔高BC?80(米),山高OB?220(米),OA?200(米),图中所示的山坡可视为直线l且点P在直线l上,l与水平地面的夹角为α,tanα=
12
.试问,此人距山崖的水平地面多高时,观看塔的视角∠BPC最大(不计此人的身高)?

查看答案和解析>>

科目:高中数学 来源: 题型:

某人在一山坡P处观看对面山顶上的一座铁塔,如图所示,塔高BC=40(米),塔所在的山高OB=290(米),OA=210(米),图中所示的山坡可视为直线l且点P在直线l上,l与水平地面的夹角为α,tanα=
13
.试问此人距水平地面多高时,观看塔的视角∠BPC最大(不计此人的身高).

查看答案和解析>>

科目:高中数学 来源:2008-2009学年湖北省武汉二中高一(下)期末数学试卷(文科)(解析版) 题型:解答题

某人在一山坡P处观看对面山顶上的一座铁塔,如图所示,塔高BC=40(米),塔所在的山高OB=290(米),OA=210(米),图中所示的山坡可视为直线l且点P在直线l上,l与水平地面的夹角为α,.试问此人距水平地面多高时,观看塔的视角∠BPC最大(不计此人的身高).

查看答案和解析>>

科目:高中数学 来源:2012-2013学年新课标高三(上)数学一轮复习单元验收7(理科)(解析版) 题型:解答题

某人在一山坡P处观看对面山项上的一座铁塔,如图所示,塔及所在的山崖可视为图中的竖线OC,塔高BC?80(米),山高OB?220(米),OA?200(米),图中所示的山坡可视为直线l且点P在直线l上,l与水平地面的夹角为α,tanα=.试问,此人距山崖的水平地面多高时,观看塔的视角∠BPC最大(不计此人的身高)?

查看答案和解析>>

科目:高中数学 来源:2011年云南省高三数学一轮复习单元测试04:三角函数(解析版) 题型:解答题

某人在一山坡P处观看对面山项上的一座铁塔,如图所示,塔及所在的山崖可视为图中的竖线OC,塔高BC?80(米),山高OB?220(米),OA?200(米),图中所示的山坡可视为直线l且点P在直线l上,l与水平地面的夹角为α,tanα=.试问,此人距山崖的水平地面多高时,观看塔的视角∠BPC最大(不计此人的身高)?

查看答案和解析>>

同步练习册答案