精英家教网 > 高中数学 > 题目详情
离心率e=,一个焦点是F(0,-3)的椭圆标准方程为   
【答案】分析:先设出椭圆方程,根据条件列出关于a,b,c的方程,求出a,b,c即可得到结论.
解答:解:由题设椭圆的焦点在y轴上,设方程为:,由题得:解得
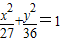
所以椭圆标准方程为
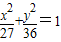
故答案为:
点评:本题主要考查椭圆的基本性质.解决问题的关键是根据条件列出关于a,b,c的方程,求出a,b,c.
练习册系列答案
相关习题

科目:高中数学 来源: 题型:填空题

离心率e=数学公式,一个焦点是F(0,-3)的椭圆标准方程为________.

查看答案和解析>>

科目:高中数学 来源:江苏期末题 题型:解答题

已知椭圆C1的离心率为,一个焦点坐标为
(1)求椭圆C1的方程;
(2)点N是椭圆的左顶点,点P是椭圆C1上不同于点N的任意一点,连接NP并延长交椭圆右准线与点T,求的取值范围;
(3)设曲线与y轴的交点为M,过M作两条互相垂直的直线与曲线C2、椭圆C1相交于点A、D和B、E,(如图),记△MAB、△MDE的面积分别是S1,S2,当时,求直线AB的方程.

查看答案和解析>>

科目:高中数学 来源:2010年北京市怀柔区高考数学一模试卷(理科)(解析版) 题型:解答题

已知椭圆C的中心在坐标原点,离心率e=,一个焦点的坐标为(,0).
(I)求椭圆C方程;
(II)设直线l:y=与椭圆C交于A,B两点,线段AB的垂直平分线交x轴于点T.当m变化时,求△TAB面积的最大值.

查看答案和解析>>

科目:高中数学 来源:同步题 题型:填空题

离心率e=,一个焦点是F(0,﹣3)的椭圆标准方程为(    )

查看答案和解析>>

同步练习册答案