精英家教网 > 高中数学 > 题目详情
已知双曲线(a>0,b>0)的两条渐近线均和圆C:x2+y2-6x+5=0相切,且双曲线的右焦点为圆C的圆心,则该双曲线的方程为( )
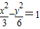
A.
B.
C.
D.
【答案】分析:先利用圆的一般方程,求得圆心坐标和半径,从而确定双曲线的焦距,得a、b间的一个等式,再利用直线与圆相切的几何性质,利用圆心到渐近线距离等于圆的半径,得a、b间的另一个等式,联立即可解得a、b的值,从而确定双曲线方程
解答:解:∵圆C:x2+y2-6x+5=0的圆心C(3,0),半径r=2
∴双曲线(a>0,b>0)的右焦点坐标为(3,0),即c=3,∴a2+b2=9,①
∵双曲线(a>0,b>0)的一条渐近线方程为bx-ay=0,
∴C到渐近线的距离等于半径,即=2     ②
由①②解得:a2=5,b2=4
∴该双曲线的方程为
故选 A
点评:本题主要考查了圆的一般方程,直线与圆的位置关系及其应用,双曲线的标准方程及其求法,双曲线的几何性质及其运用,两曲线的综合运用
练习册系列答案
相关习题

科目:高中数学 来源: 题型:

已知双曲线-=1(a>0,b>0)的右焦点为F,右准线与一条渐近线交于点A,△OAF的面积为(O为原点),则两条渐近线的夹角为(    )

A.30°             B.45°              C.60°               D.90°

查看答案和解析>>

科目:高中数学 来源: 题型:

已知双曲线=1(a>0,b>0)的右焦点为F,右准线与一条渐近线交于点A,△OAF的面积为(O为原点),则两条渐近线的夹角为(    )

A.30°                B.45°                   C.60°                  D.90°

查看答案和解析>>

科目:高中数学 来源:2013-2014学年人教版高考数学文科二轮专题复习提分训练24练习卷(解析版) 题型:选择题

已知双曲线-=1(a>0,b>0)的一条渐近线方程是y=x,它的一个焦点在抛物线y2=24x的准线上,则双曲线的方程为(  )

(A) -=1 (B) -=1

(C) -=1 (D) -=1

 

查看答案和解析>>

科目:高中数学 来源:2010-2011学年江西省高三联合考试数学文卷 题型:填空题

已知双曲线a>0,b>0)的左右焦点分别为F1 F2 ,P 是双曲线上的一点,且P F1⊥P F2, 的面积为2 ab,则双曲线的离心率 e=________.

 

查看答案和解析>>

科目:高中数学 来源:2013届吉林省高二上学期期末考试理科数学 题型:选择题

已知双曲线(a>0,b>0)的两条渐近线均和圆C:x2+y2-6x+5=0相切,且双曲线的右焦点为圆C的圆心,则该双曲线的方程为(    )

(A)    (B)     (C) (D)

 

查看答案和解析>>

同步练习册答案