精英家教网 > 高中数学 > 题目详情
已知函数,x∈(0,+∞),
(1)当a=8时,求f(x)的单调区间;
(2)对任意正数a,证明:1<f(x)<2。
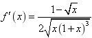
解:(1)当a=8时,
求得
于是当x∈时,f′(x)≥0;而当x∈时,f′(x)≤0,
即f(x)在中单调递增,而在中单调递减.
(2)对任意给定的a>0,x>0,由
若令,则abx=8, ①
, ②
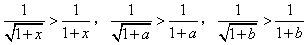
(一)、先证f(x)>1;因为
又由,得
所以



(二)、再证f(x)<2;
由①、②式中关于x,a,b的对称性,不妨设x≥a≥b,则0<b≤2,
(ⅰ)当a+b≥7,则a≥5,所以x≥a≥5,
因为
此时
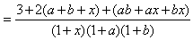
(ⅱ)当a+b<7,③
由①得,
因为
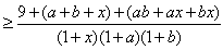
所以, ④
同理得, ⑤
于是, ⑥
今证明, ⑦
因为
只要证,即
也即a+b<7,据③,此为显然.
练习册系列答案
相关习题

科目:高中数学 来源: 题型:

已知函数f(x)=
|lgx|(0<x<10)
(x-20)2
100
(x≥10)
,若a,b,c,d互不相等,且f(a)=f(b)=f(c)=f(d),则abcd的取值范围是
(300,400)
(300,400)

查看答案和解析>>

科目:高中数学 来源: 题型:

(2012•湛江一模)已知函数f(x)的图象是在[a,b]上连续不断的曲线,定义:f1(x)=min{f(t)|a≤t≤x},(x∈[a,b]);f2(x)=max{f(t)|a≤t≤x},(x∈[a,b])其中,min{f(t)|t∈D}表示函数f(t)在D上的最小值,max{f(t)|t∈D}表示函数f(t)在D上的最大值.若存在最小正整数k,使得f2(x)-f1(x)≤k(x-a)对任意的x∈[a,b]成立,则称函数f(x)为[a,b]上的“k阶收缩函数”.已知函数f(x)=2sinx(0≤x≤
π
2
)

(1)求f1(x),f2(x)的表达式;
(2)判断f(x)是否为[0,
π
2
]
上的“k阶收缩函数”,如果是,请求对应的k的值;如果不是,请说明理由.

查看答案和解析>>

科目:高中数学 来源: 题型:

(2011•临沂二模)已知函数y=
x
(0≤x≤4)的值域为A,不等式x2-x≤0的解集为B,若a是从集合A中任取的一个数,b是从集合B中任取一个数,则a>b的概率是(  )

查看答案和解析>>

科目:高中数学 来源: 题型:

(08年周至二中三模理) 已知函数f (x)(0≤x≤1)的图象的一段圆弧(如图所示)若,则 (   )       

(A)    (B)

(C)     (D)前三个判断都不正确

查看答案和解析>>

科目:高中数学 来源: 题型:

(14分)已知函数,( x>0).

(I)当0<a<b,且f(a)=f(b)时,求证:ab>1;

(II)是否存在实数a,b(a<b),使得函数y=f(x)的定义域、值域都是[a,b],若存在,则求出a,b的值,若不存在,请说明理由.

(III)若存在实数a,b(a<b),使得函数y=f(x)的定义域为 [a,b]时,值域为 [ma,mb]

(m≠0),求m的取值范围.

查看答案和解析>>

同步练习册答案