精英家教网 > 高中数学 > 题目详情
设定义在[0,2]上的函数f(x)满足下列条件:
①对于x∈[0,2],总有f(2-x)=f(x),且f(x)≥1,f(1)=3;②对于x,y∈[1,2],若x+y≥3,则f(x)+f(y)≤f(x+y-2)+1.
证明:(1)对于x,y∈[0,1],若x+y≤1,则f(x+y)≥f(x)+f(y)-1
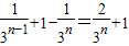
(2)(n∈N*);
(3)x∈[1,2]时,1≤f(x)≤13-6x.
【答案】分析:(1)由f(2-x)=f(x)知,函数f(x)图象关于直线x=1对称,则根据②可知:对于x,y∈[0,1],若x+y≤1,
两者结合即得;
(2)先利用单调函数的定义证明f(x)在[0,1]上是不减函数,利用,进行放缩结合等比数列的求和即得;(3)对于任意x∈(0,1],则必存在正整数n,使得.因为f(x)在(0,1)上是不减函数,所以,由(2)知,结合题中条件充分利用赋值法及不等式的性质即可.
解答:证明:(1)由f(2-x)=f(x)知,函数f(x)图象关于直线x=1对称,
则根据②可知:对于x,y∈[0,1],若x+y≤1,
则f(x+y)≥f(x)+f(y)-1.…(2分)
(2)设x1,x2∈[0,1],且x1<x2,则x2-x1∈[0,1].
∵f(x2)-f(x1)=f[x1+(x2-x1)]-f(x1)≥f(x1)+f(x2-x1)-1-f(x1)=f(x2-x1)-1≥0,
∴f(x)在[0,1]上是不减函数.…(4分)


=.…(8分)
(3)对于任意x∈(0,1],则必存在正整数n,使得
因为f(x)在(0,1)上是不减函数,所以
由(2)知
由①可得f(2)≥1,在②中,令x=y=2,得f(2)≤1,∴f(2)=1.
而f(2)=f(0),∴f(0)=1,又,∴
∴x∈[0,1]时,1≤f(x)≤6x+1..…(12分)
∵x∈[1,2]时,2-x∈[0,1],且f(x)=f(2-x),
∴1≤f(2-x)≤6(2-x)+1=13-6x,
因此,x∈[1,2]时,1≤f(x)≤13-6x.….(14分)
点评:本题主要考查函数单调性的性质、函数单调性的判断与证明、数列知识与函数知识的综合问题.解答关键在于对赋值法的熟练应用.
练习册系列答案
相关习题

科目:高中数学 来源: 题型:

设定义在[0,2]上的函数f(x)满足下列条件:
①对于x∈[0,2],总有f(2-x)=f(x),且f(x)≥1,f(1)=3;②对于x,y∈[1,2],若x+y≥3,则f(x)+f(y)≤f(x+y-2)+1.
证明:(1)对于x,y∈[0,1],若x+y≤1,则f(x+y)≥f(x)+f(y)-1
(2)f(
1
3n
)≤
2
3n
+1
(n∈N*);
(3)x∈[1,2]时,1≤f(x)≤13-6x.

查看答案和解析>>

科目:高中数学 来源: 题型:

设定义在[0,2]上的函数满足下列条件:

①对于,总有,且

②对于,若,则

证明:(1));(2)时,

查看答案和解析>>

科目:高中数学 来源: 题型:

设定义在[0,2]上的函数满足下列条件:

①对于,总有,且

②对于,若,则

证明:(1));(2)时,

查看答案和解析>>

科目:高中数学 来源: 题型:解答题

设定义在[0,2]上的函数f(x)满足下列条件:
①对于x∈[0,2],总有f(2-x)=f(x),且f(x)≥1,f(1)=3;②对于x,y∈[1,2],若x+y≥3,则f(x)+f(y)≤f(x+y-2)+1.
证明:(1)对于x,y∈[0,1],若x+y≤1,则f(x+y)≥f(x)+f(y)-1
(2)数学公式(n∈N*);
(3)x∈[1,2]时,1≤f(x)≤13-6x.

查看答案和解析>>

科目:高中数学 来源: 题型:

 设定义在[0,2]上的函数满足下列条件:

①对于,总有,且

②对于,若,则

证明:(1));(2)时,

查看答案和解析>>

同步练习册答案