精英家教网 > 高中数学 > 题目详情

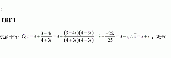
已知复数,则( )

A. B. C. D.

练习册系列答案
相关习题

科目:高中数学 来源:2015-2016学年江西省南昌市高一10月月考数学试卷(解析版) 题型:选择题

设函数f (x)是(-,+)上的减函数,又若aR,则( )

A.f (a)>f (2a)

B.f (a2)<f (a)

C.f (a2+a)<f (a)

D.f (a2+1)<f (a)

查看答案和解析>>

科目:高中数学 来源:2016届江苏省高三上第十八周周练数学试卷(解析版) 题型:填空题

若函数分别为R上的奇函数、偶函数,且满足,则三个数的大小关系为________.

查看答案和解析>>

科目:高中数学 来源:2016届江西省高三上学期第三次考试文科数学试卷(解析版) 题型:填空题

已知变量满足约束条件,若的最大值为5,且为负整数,则=____________.

查看答案和解析>>

科目:高中数学 来源:2016届江西省高三上学期第三次考试理科数学试卷(解析版) 题型:解答题

中,分别为角的对边,且

(Ⅰ)求

(Ⅱ)若,点是线段中点,且,若角大于,求的面积.

查看答案和解析>>

科目:高中数学 来源:2015-2016学年浙江省高二上学期期中数学试卷(解析版) 题型:选择题

已知不等式组表示的平面区域为D,若函数的图象上存在区域D上的点,则实数m的取值范围是( )

A. B. C. D.

查看答案和解析>>

科目:高中数学 来源:2015-2016学年西藏日喀则一中高二10月月考文数学试卷(解析版) 题型:选择题

若函数对任意的都有恒成立,则( )

A.

B.

C.

D.的大小不确定

查看答案和解析>>

科目:高中数学 来源:2015-2016学年安徽师大附中高二上学期期中文科数学试卷(解析版) 题型:填空题

直线与抛物线和圆从左到右的交点依次为,则的值为

查看答案和解析>>

科目:高中数学 来源:2015-2016学年辽宁省葫芦岛市高一上学期期中考试数学试卷(解析版) 题型:选择题

已知函数y=f(x)是偶函数,其图象与x轴有四个交点,则方程f(x)=0的所有实根之和是( )

A.0 B.1 C.2 D.4

查看答案和解析>>

同步练习册答案