精英家教网 > 高中数学 > 题目详情
火箭竖直向上发射,熄火时向上速度达到100m/s,试问熄火后多长时间火箭速度为零?(g=9.8 m/s2
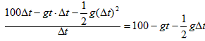
解:火箭的运动方程为
在t附近的平均变化率为

令h'(t)=0,即100-gt=0,
解得
故火箭熄火后约10.2s速度变为零。
练习册系列答案
相关习题

科目:高中数学 来源:2010年本溪市高二下学期期末考试(理科)数学卷 题型:选择题

火箭竖直向上发射,若火箭熄火时向上速度达到100,熄火后的运动方程为,则从熄火到火箭速度为0时所需时间=

(A)        (B)        (C)        (D)

 

查看答案和解析>>

同步练习册答案