精英家教网 > 高中数学 > 题目详情

是函数的两个极值点,

   (1)若,求函数的解析式;  

(2)若求实数的最大值;

   (3)函数求函数内的最小值。(用表示)

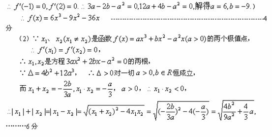
22.解:--------------------------------------------------------------1分

   (1)是函数的两个极值点,

   由可得------------------------------------------------------------3分

(或由

………………7分

 ………………………………………… 8分

在(0,4)内是增函数;

  ∴h (a)在(4,6)内是减函数.

时,有极大值为上的最大值是

的最大值是…………………………………………………………………10分

(3)∵x1x2是方程的两根,

-------------------------------------------------11分

----------12分

对称轴为

-------------15分

练习册系列答案
相关习题

科目:高中数学 来源: 题型:

(本小题满分12分)

是函数的两个极值点。

??(1)若,求函数的解析式;

(2)若,求的最大值。

查看答案和解析>>

科目:高中数学 来源: 题型:

(本小题满分12分) 设是函数的两个极值点。

(Ⅰ)求的值;(Ⅱ)求的单调区间

查看答案和解析>>

科目:高中数学 来源:2013届浙江省宁波四校高二下学期期中文科数学试卷(解析版) 题型:解答题

(本小题满分14分)设是函数的两个极值点.

 (1)试确定常数的值;

(2)试判断是函数的极大值点还是极小值点,并说明理由。

 

查看答案和解析>>

科目:高中数学 来源:2010-2011学年重庆市高三上学期第四次月考文科数学卷 题型:解答题

(本题满分12分)

    设是函数的两个极值点,且..

    (Ⅰ)用表示,并求的最大值;

    (Ⅱ)若函数,求证:当时,

 

查看答案和解析>>

科目:高中数学 来源:2010-2011学年宁夏高三第一次月考理科数学卷 题型:解答题

(本题满分12分)

是函数的两个极值点.

(1)若,求函数的解析式;

(2)若,求的最大值;

(3)设函数,当时,

求证:

 

 

 

查看答案和解析>>

同步练习册答案