【答案】
分析:设出圆心A的坐标为(a,b),且根据圆心在第一象限得到a与b都大于0,再根据圆与x轴相切,得到圆的半径等于b,利用两点间的距离求出圆心到切点的距离,使求出的距离等于半径b,列出关于a与b的方程,记作①,又把切点坐标代入直线y=kx确定出k的值,从而得到直线的方程,根据直线与圆相切,得到圆心到直线的距离等于圆的半径,故利用点到直线的距离公式求出圆心到直线的距离d,使d等于圆的半径b,列出a与b的另一个关系式,记作②,把②代入①消去a得到关于b的一元二次方程,求出方程的解即可得到b的值,把b的值代入②可得a的值,从而确定出圆心坐标及圆的半径,根据圆心和半径写出圆的标准方程即可.
解答:解:设圆心A坐标为(a,b)(a>0,b>0),
由圆与x轴相切得到圆的半径r=|b|=b,
又圆与直线y=kx切于点B

,得到|AB|=r,
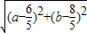
即

=b,即5a
2-12a-16b+20=0①,
又

在直线y=kx上,代入直线可得k=

,
所以直线方程为y=

x,即4x-3y=0,
所以圆心到直线的距离d=

=b,
即(2a+b)(a-2b)=0,
∵2a+b≠0,∴a-2b=0,即a=2b②,
把②代入①得:b
2-2b+1=0,即(b-1)
2=0,解得b=1,
把b=1代入②得:a=2,
所以圆心坐标为(2,1),半径r=1,
则圆的标准方程为:(x-2)
2+(y-1)
2=1.
故答案为:(x-2)
2+(y-1)
2=1
点评:此题考查了圆的标准方程,以及直线与圆的位置关系,用到的知识有:两点间的距离公式,点到直线的距离公式,方程及转化的思想,要求学生会根据圆心和半径写出圆的标准方程,直线与圆的位置关系的判定方法有:当0≤d<1时,直线与圆相交;当d=r时,直线与圆相切;当d>r时,直线与圆相离(d为圆心到直线的距离,r为圆的半径).