精英家教网 > 高中数学 > 题目详情

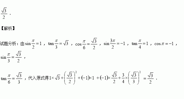
求值

练习册系列答案
相关习题

科目:高中数学 来源:2016届浙江省绍兴市高三上学期期中文科数学试卷(解析版) 题型:填空题

边长为2的正三角形内(包括三边)有点,求的取值范围

查看答案和解析>>

科目:高中数学 来源:2015-2016学年山西省高二上期中文科数学试卷(解析版) 题型:解答题

已知一个动点M在圆上移动,它与定点Q(4,0)所连线段的中点为P.

(1)求点P的轨迹方程.

(2)过定点(0,-3)的直线l与点P的轨迹交于不同的两点且满足,求直线l的方程.

查看答案和解析>>

科目:高中数学 来源:2015-2016学年江苏省高一创新班上期中数学试卷(解析版) 题型:解答题

已知

(1)判断奇偶性并证明;

(2)判断单调性并用单调性定义证明;

(3)若,求实数的取值范围.

查看答案和解析>>

科目:高中数学 来源:2015-2016学年江苏省高一10月月考数学试卷(解析版) 题型:填空题

设函数f(x)=,若,则实数的取值范围是

查看答案和解析>>

科目:高中数学 来源:2015-2016学年吉林省高一上期中理科数学试卷(解析版) 题型:选择题

恒成立,则实数的取值范围是( )

A.

B.

C.

D.

查看答案和解析>>

科目:高中数学 来源:2015-2016学年湖北孝感高中高二上学期期中文科数学试卷(解析版) 题型:选择题

下边程序框图的算法思路源于我国古代数学名著《九章算术》中的“更相减损术”.执行该程序框图,若输入分别为14,18,则输出的

 

A.0 B.2 C.4 D.14

查看答案和解析>>

科目:高中数学 来源:2015-2016学年广东广州执信中学高一上学期期中数学试卷(解析版) 题型:选择题

已知函数的对应关系如下表,函数的图象是如下图的曲线,其中,则的值为( )

A. B. C. D.

查看答案和解析>>

科目:高中数学 来源:2015-2016学年浙江慈溪中学高一1-3班上期中数学卷(解析版) 题型:解答题

已知函数

(1)对任意的成立,求的取值范围;

(2)对有两个不等实根,求的取值范围.

查看答案和解析>>

同步练习册答案