精英家教网 > 高中数学 > 题目详情

,若

练习册系列答案
相关习题

科目:高中数学 来源:2015-2016学年河北省高一10月月考数学试卷(解析版) 题型:填空题

函数的定义域是______________________.

查看答案和解析>>

科目:高中数学 来源:2016届山东省高三10月月考文科数学试卷(解析版) 题型:解答题

(本题满分12分)已知集合

(Ⅰ)求集合

(Ⅱ)若,求实数的取值范围.

查看答案和解析>>

科目:高中数学 来源:2016届辽宁省抚顺市高三10月月考文科数学试卷(解析版) 题型:填空题

若关于x的函数的最大值为M,最小值为N,且,则实数t的值为

查看答案和解析>>

科目:高中数学 来源:2016届辽宁省抚顺市高三10月月考理科数学试卷(解析版) 题型:选择题

某同学想求斐波那契数列0,1,1,2,(从第三项起每一项等于前两项的和)的前10项的和,他设计了一个程序框图,那么在空白矩形框和判断框内应分别填入的语句是( )

A. B. C. D.

查看答案和解析>>

科目:高中数学 来源:2016届吉林省高三上学期第一次模拟理科数学试卷(解析版) 题型:选择题

已知函数 的图象上存在关于y轴对称的点,则a的取值范围( )

A. B. C. D.

查看答案和解析>>

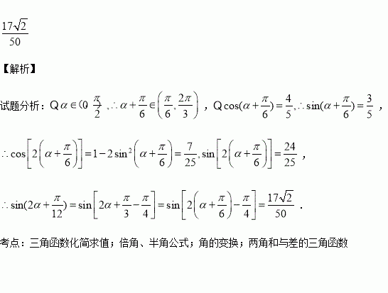
科目:高中数学 来源:2016届黑龙江省牡丹江市高三10月月考文科数学试卷(解析版) 题型:填空题

已知,则的值是=

查看答案和解析>>

科目:高中数学 来源:2016届黑龙江省高三第一阶段考试理科数学试卷(解析版) 题型:选择题

已知满足约束条件,若的最大值为4,则=( )

A.3 B.2 C.-2 D.-3

查看答案和解析>>

科目:高中数学 来源:2015-2016学年黑龙江省牡丹江市高一上学期9月月考数学试卷(解析版) 题型:解答题

(本小题满分10分)已知全集,集合,集合

求:

查看答案和解析>>

同步练习册答案