精英家教网 > 高中数学 > 题目详情
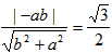
已知双曲线(a>0,b>0)的离心率为e=,直线过点A(a,0)和B(0,-b),原点O到直线l的距离为
(1)求此双曲线的方程;
(2)已知直线l:y=kx+5(k≠0)交双曲线于不同的点C,D,且C,D都在以B为圆心的圆上,求k的值。

解:(1)由已知直线l的方程为
∵原点O到直线l的距离为
,即:
又e=

故所求双曲线的方程为:
(2)把y=kx+5代入中消去y,整理得…①,
,CD的中点是M




,即,代入①式,△>0,符合题意,
故所求k的值为

练习册系列答案
相关习题

科目:高中数学 来源:2013-2014学年人教版高考数学文科二轮专题复习提分训练24练习卷(解析版) 题型:选择题

已知双曲线-=1(a>0,b>0)的一条渐近线方程是y=x,它的一个焦点在抛物线y2=24x的准线上,则双曲线的方程为(  )

(A) -=1 (B) -=1

(C) -=1 (D) -=1

 

查看答案和解析>>

科目:高中数学 来源:2013-2014学年人教版高考数学文科二轮专题复习提分训练19练习卷(解析版) 题型:选择题

已知双曲线-=1(a>0,b>0)的离心率为,则双曲线的渐近线方程为(  )

(A)y=±x (B)y=±x

(C)y=±2x (D)y=±x

 

查看答案和解析>>

科目:高中数学 来源:2013-2014学年人教版高考数学文科二轮专题复习提分训练19练习卷(解析版) 题型:选择题

已知双曲线-=1(a>0,b>0),过其右焦点F且垂直于实轴的直线与双曲线交于M,N两点,O为坐标原点.OMON,则双曲线的离心率为(  )

(A) (B)

(C) (D)

 

查看答案和解析>>

科目:高中数学 来源:2013-2014学年人教版高考数学文科二轮专题复习提分训练19练习卷(解析版) 题型:选择题

已知双曲线-=1(a>0,b>0)的两条渐近线均和圆C:x2+y2-6x+5=0相切,且双曲线的右焦点为圆C的圆心,则该双曲线的方程为(  )

(A)-=1 (B)-=1

(C)-=1 (D)-=1

 

查看答案和解析>>

科目:高中数学 来源:2013届吉林省高二上学期期末考试理科数学 题型:选择题

已知双曲线(a>0,b>0)的两条渐近线均和圆C:x2+y2-6x+5=0相切,且双曲线的右焦点为圆C的圆心,则该双曲线的方程为(    )

(A)    (B)     (C) (D)

 

查看答案和解析>>

同步练习册答案