精英家教网 > 高中数学 > 题目详情
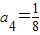
在等比数列{an}(n∈N*)中,若a1=1,,则该数列的前5项和为( )
A.
B.
C.
D.
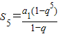
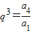
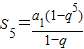
【答案】分析:由等比数列的通项公式,可求q,然后代入等比数列的求和公式,可求
解答:解:由等比数列的通项公式可知,=

由等比数列的求和公式可得,==2
故选B
点评:本题主要考查了等比数列的通项公式及求和公式的简单应用,属于基础试题
练习册系列答案
相关习题

科目:高中数学 来源: 题型:

4、在等比数列{an}中Tn表示前n项的积,若T5=1,则一定有(  )

查看答案和解析>>

科目:高中数学 来源: 题型:

4、在等比数列{an}中,若a6a8a10=27,则a8=
3.

查看答案和解析>>

科目:高中数学 来源: 题型:

在等比数列{an}中,an>0,a1+a2=1,a3+a4=9,则a4+a5=(  )
A、16B、27C、36D、81

查看答案和解析>>

科目:高中数学 来源: 题型:

在等比数列{an}中,若a2=4,a5=32,则公比q的值是(  )

查看答案和解析>>

科目:高中数学 来源: 题型:

在等比数列{an}中,an>0(n∈N+),a1=1,a3=
4
9
,则直线an+1x-any+3=0与直线3x+2y-7=0的位置关系是(  )

查看答案和解析>>

同步练习册答案