精英家教网 > 高中数学 > 题目详情
已知点M(-2,0),N(2,0),动点P满足条件|PM|-|PN|=2,记动点P的轨迹为W,
(Ⅰ)求W的方程;
(Ⅱ)若A,B是W上的不同两点,O是坐标原点,求的最小值。
解:(Ⅰ)由|PM|-|PN|=知动点P的轨迹是以M,N为焦点的双曲线的右支,
实半轴长
又半焦距c=2,故虚半轴长
所以W的方程为
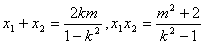
(Ⅱ)设A,B的坐标分别为(),
当AB⊥x轴时,
从而
当AB与x轴不垂直时,设直线AB的方程为
与W的方程联立,消去y得

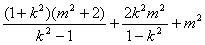
所以=
==
=
又因为
所以,从而
综上,当AB⊥x轴时,取得最小值2。
练习册系列答案
相关习题

科目:高中数学 来源: 题型:

已知点M(-2,0),N(2,0),动点P满足条件||PM|-|PN||=2
2
,记动点P的轨迹为W.
(1)求W的方程;
(2)过N(2,0)作直线l交曲线W于A,B两点,使得|AB|=2
2
,求直线l的方程.
(3)若从动点P向圆C:x2+(y-4)2=1作两条切线,切点为A、B,令|PC|=d,试用d来表示
PA
PB
,若
PA
PB
=
36
5
,求P点坐标.

查看答案和解析>>

科目:高中数学 来源: 题型:

精英家教网已知点M(-2,0),⊙O:x2+y2=1(如图);若过点M的直线l1交圆于P、Q两点,且圆孤PQ恰为圆周的
14
,求直线l1的方程.

查看答案和解析>>

科目:高中数学 来源: 题型:

已知点M(-2,0),N(2,0),动点P满足条件|PM|-|PN|=2
2
.记动点P的轨迹为W.若A,B是W上的不同两点,O是坐标原点.
(1)求W的方程;
(2)若AB的斜率为2,求证
OA
OB
为定值.
(3)求
OA
OB
的最小值.

查看答案和解析>>

科目:高中数学 来源: 题型:

已知点M(-2,0),N(2,0),动点P满足条件|PM|-|PN|=2
2
.记动点P的轨迹为W.
(1)求W的方程;
(2)若A,B是W上的不同两点,O是坐标原点,求
OA
OB
的最小值.

查看答案和解析>>

科目:高中数学 来源: 题型:

(2007•湖北模拟)已知点M(-2,0)、N(2,0),动点P满足条件|PM|-|PN|=2
2
,则动点P的轨迹方程为(  )

查看答案和解析>>

同步练习册答案