精英家教网 > 高中数学 > 题目详情

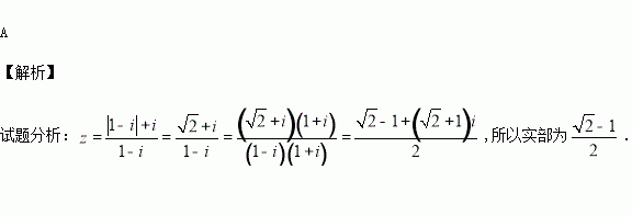
若复数满足,则的实部为( )

A. B. C.1 D.

练习册系列答案
相关习题

科目:高中数学 来源:2015-2016学年江西省高二5月月考文科数学试卷(解析版) 题型:选择题

方程的曲线在同一坐标系中的示意图可能是( )

查看答案和解析>>

科目:高中数学 来源:2015-2016学年贵州遵义航天高中高二下期中文科数学试卷(解析版) 题型:填空题

已知双曲线的一个焦点是,则= .

查看答案和解析>>

科目:高中数学 来源:2015-2016学年贵州贵阳六中高二下期中理科数学试卷(解析版) 题型:填空题

设直线交圆两点,当面积最大时,

查看答案和解析>>

科目:高中数学 来源:2015-2016学年贵州贵阳六中高二下期中理科数学试卷(解析版) 题型:选择题

中,三边与面积的关系是,则的度数是( )

A.30° B.60° C.45° D.90°

查看答案和解析>>

科目:高中数学 来源:2015-2016学年贵州贵阳六中高二下期中理科数学试卷(解析版) 题型:选择题

如果成等比数列,那么( )

A. B. C. D.

查看答案和解析>>

科目:高中数学 来源:2015-2016学年贵州贵阳六中高二下期中理科数学试卷(解析版) 题型:选择题

已知,那么函数有( )

A.最小值 B.最大值 C.最小值2 D.最大值2

查看答案和解析>>

科目:高中数学 来源:2015-2016学年四川绵阳南山中学高二下期中文科数学卷(解析版) 题型:解答题

已知曲线,直线为参数).

(I)写出曲线的参数方程,直线的普通方程;

(II)过曲线上任一点作与夹角为的直线,交于点,求的最大值与最小值.

查看答案和解析>>

科目:高中数学 来源:2015-2016学年福建省高二下周练文科数学试卷(解析版) 题型:解答题

已知函数.

(1)求函数的解析式;

(2)若方程有两个不相等的实根,求实数的取值范围.

查看答案和解析>>

同步练习册答案