精英家教网 > 高中数学 > 题目详情

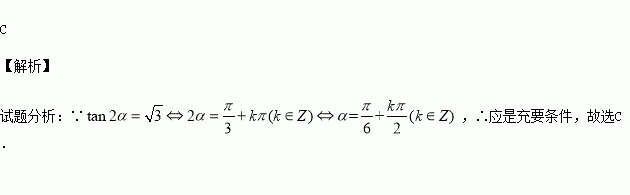
”是“”的( )

A.充分不必要条件 B.必要不充分条件

C.充要条件 D.既不充分也不必要条件

练习册系列答案
相关习题

科目:高中数学 来源:2016届江苏省高三九月月考数学试卷(解析版) 题型:填空题

已知函数.若是偶函数,则

查看答案和解析>>

科目:高中数学 来源:2015-2016学年江西省南昌市高一上学期第一次月考数学试卷(解析版) 题型:选择题

若函数上为增函数,则实数的取值范围为( )

A. B. C. D.

查看答案和解析>>

科目:高中数学 来源:2015-2016学年江西省南昌市高一上学期期中考试数学试卷(解析版) 题型:选择题

,则等于 ( )

A、 B、 C、 D、

查看答案和解析>>

科目:高中数学 来源:2016届浙江宁波效实中学高三上期中考试文科数学试卷(解析版) 题型:选择题

一个几何体的三视图如图所示,则该几何体的体积是( )

A.64 B.72 C.80 D.112

查看答案和解析>>

科目:高中数学 来源:2016届山东省高三第二次诊断性考试文科数学试卷(解析版) 题型:选择题

下列函数中,既是偶函数,又在区间内是增函数的是

A. B.

C. D.

查看答案和解析>>

科目:高中数学 来源:2016届河南省原名校高三上学期第一次联考文科数学试卷(解析版) 题型:解答题

(本小题满分12分)设命题函数的值域为;命题不等式对一切均成立.

(1)如果是真命题,求实数的取值范围;

(2)如果命题“”为真命题,且“”为假命题,求实数的取值范围.

查看答案和解析>>

科目:高中数学 来源:2015-2016学年湖北省高二上期中文科数学试卷(解析版) 题型:解答题

(本小题满分10分)

(1)设函数,其中θ∈,求导数的取值范围;

(2)若曲线与曲线在它们的公共点处具有公共切线,

求公共切线的方程.

查看答案和解析>>

科目:高中数学 来源:2015-2016学年广东省英德市高二上学期第一次月考理科数学试卷(解析版) 题型:选择题

若a>b,ab≠0,则下列不等式恒成立的( )

A.< B.<1 C.2a>2b D.lg(b-a)<0

查看答案和解析>>

同步练习册答案