精英家教网 > 高中数学 > 题目详情
对于中心在原点,且对称轴是坐标轴的双曲线的标准方程,若已知a=6,b=8,则其方程为( )
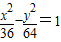
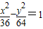
A.
B.
C.
D.
【答案】分析:由题意可得,中心在原点,且对称轴是坐标轴的双曲线的标准方程有两种情形,一是焦点在x轴,另一种焦点在y轴,根据a与b写出标准方程即可.
解答:解:当双曲线的焦点在x轴上时,它的标准方程是
当双曲线的焦点在y轴上时,它的标准方程是
故选C.
点评:本题考查求双曲线的标准方程,解决此类题目的关键是对求双曲线标准方程的方法要熟悉,如定义法、待定系数法、相关点代入法等方法.
练习册系列答案
相关习题

科目:高中数学 来源: 题型:

已知椭圆的中心在原点,焦点在x轴上,F1、F2分别为左、右焦点,椭圆的一个顶点与两焦点构成等边三角形,且|
F1F2
|=2.
(1)求椭圆方程;
(2)对于x轴上的某一点T,过T作不与坐标轴平行的直线L交椭圆于P、Q两点,若存在x轴上的点S,使得对符合条件的L恒有∠PST=∠QST成立,我们称S为T的一个配对点,当T为左焦点时,求T 的配对点的坐标;
(3)在(2)条件下讨论当T在何处时,存在有配对点?

查看答案和解析>>

科目:高中数学 来源:2010年上海市上海中学高三数学综合练习试卷(3)(解析版) 题型:解答题

已知椭圆的中心在原点,焦点在x轴上,F1、F2分别为左、右焦点,椭圆的一个顶点与两焦点构成等边三角形,且||=2.
(1)求椭圆方程;
(2)对于x轴上的某一点T,过T作不与坐标轴平行的直线L交椭圆于P、Q两点,若存在x轴上的点S,使得对符合条件的L恒有∠PST=∠QST成立,我们称S为T的一个配对点,当T为左焦点时,求T 的配对点的坐标;
(3)在(2)条件下讨论当T在何处时,存在有配对点?

查看答案和解析>>

同步练习册答案