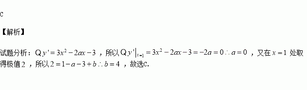
精英家教网 > 高中数学 > 题目详情

已知函数处取得极值,则实数的值分别为( )

A.0和-4 B.0;b取任意实数 C.0和4 D.4;b取任意实数

练习册系列答案
相关习题

科目:高中数学 来源:2015-2016湖南常德石门一中高二下第一次月考文科数学卷(解析版) 题型:选择题

已知集合为虚数单位,,则复数( )

A. B. C. D.

查看答案和解析>>

科目:高中数学 来源:2015-2016学年福建省高二下周练文科数学试卷(解析版) 题型:选择题

,已知,猜想等于( )

A. B. C. D.

查看答案和解析>>

科目:高中数学 来源:2015-2016学年贵州遵义航天高中高二3月考理科数学试卷(解析版) 题型:填空题

已知双曲线和椭圆有相同的焦点,且双曲线的离心率是椭圆离心率的两倍,则双曲线的方程为________

查看答案和解析>>

科目:高中数学 来源:2015-2016学年贵州遵义航天高中高二3月考理科数学试卷(解析版) 题型:选择题

已知双曲线)的右焦点为,若过点且倾斜角为的直线与双曲线的右支有且只有一个交点,则此双曲线的离心率的取值范围是( )

A.(1,2] B.(1,2)

C.[2,+∞) D.(2,+∞)

查看答案和解析>>

科目:高中数学 来源:2016届河南省洛阳市高三下学期第二次模拟文科数学试卷(解析版) 题型:解答题

选修4-1:几何证明选讲

如图,在直角中,边上异于的一点,以为直径作圆,并分别交于点.

(1)证明:四点共圆;

(2)若的中点,且,求的长.

查看答案和解析>>

科目:高中数学 来源:2016届河南省洛阳市高三下学期第二次模拟文科数学试卷(解析版) 题型:填空题

中,上的点,若,则实数的值为___________.

查看答案和解析>>

科目:高中数学 来源:2016届河南省洛阳市高三下学期第二次模拟理科数学试卷(解析版) 题型:解答题

设函数为自然对数的底数.

(1)若曲线在点 处的切线方程为,求实数的值;

(2)当时,若存在 ,使成立,求实数的最小值.

查看答案和解析>>

科目:高中数学 来源:2015-2016学年广东省汕头市高一下期中数学试卷(解析版) 题型:选择题

已知中,,那么为( )

A. B. C. D.

查看答案和解析>>

同步练习册答案