精英家教网 > 高中数学 > 题目详情

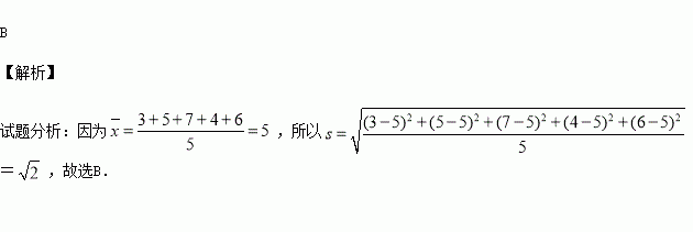
已知五个数据3,5,7,4,6,则该样本标准差为( )

A.1 B. C. D.2

练习册系列答案
相关习题

科目:高中数学 来源:2015-2016学年辽宁省高二上期中文科数学试卷(解析版) 题型:选择题

,则“”是“”的( )条件

A.充分不必要

B.必要不充分

C.充要

D.既不充分也不必要

查看答案和解析>>

科目:高中数学 来源:2015-2016学年湖南师大附中高二上第二次段测文科数学卷(解析版) 题型:填空题

设x,y满足约束条件,向量,且,则m的最小值为_____.

查看答案和解析>>

科目:高中数学 来源:2015-2016学年河北省高二上期中理科数学试卷(解析版) 题型:选择题

用红、黄、蓝三种颜色给如图所示的六个相连的圆涂色,若每种颜色只能涂两个圆,且相邻两个圆所涂颜色不能相同,则不同的涂色方案的种数是( )

(A)12 (B)24 (C)30 (D)36

查看答案和解析>>

科目:高中数学 来源:2015-2016学年海南省高一上学期期中数学试卷(解析版) 题型:选择题

,则( )

A. B. C. D.

查看答案和解析>>

科目:高中数学 来源:2015-2016学年贵州省凯里市高二上期末理科数学试卷(解析版) 题型:选择题

命题“存在一个无理数,它的平方是有理数”的否定是( )

A.任意一个有理数,它的平方是有理数

B.任意一个无理数,它的平方不是有理数

C.存在一个有理数,它的平方是有理数

D.存在一个无理数,它的平方不是有理数

查看答案和解析>>

科目:高中数学 来源:2015-2016学年广东汕头金山中学高二上12月考理数学卷(解析版) 题型:选择题

如果方程表示焦点在y轴上的椭圆,则的取值范围是( )

A. B.

C. D.

查看答案和解析>>

科目:高中数学 来源:2015-2016学年山东潍坊中学高二上学期期末理科数学试卷(解析版) 题型:选择题

若命题,则是( )

A.

B.

C.

D.

查看答案和解析>>

科目:高中数学 来源:2015-2016学年吉林省高二上期中文科数学试卷(解析版) 题型:选择题

已知,则动点的轨迹是( )

A.双曲线 B.双曲线左边一支

C.一条射线 D.双曲线右边一支

查看答案和解析>>

同步练习册答案