精英家教网 > 高中数学 > 题目详情

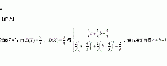
是离散型随机变量,,且,又已知,则的值为

A. B. C. D.

练习册系列答案
相关习题

科目:高中数学 来源:2016届人教版A版高三回顾知识练习6数学试卷(解析版) 题型:填空题

阅读如图所示的程序框图,运行相应的程序,输出的结果i=________.

查看答案和解析>>

科目:高中数学 来源:2015-2016学年浙江台州市高一下学期期中数学试卷(解析版) 题型:填空题

已知,那么函数的最小值是

查看答案和解析>>

科目:高中数学 来源:2015-2016学年浙江台州市高二下学期期中数学试卷(解析版) 题型:解答题

如图,在三棱锥中, 平面分别在线段上, 的中点.

(1)证明: 平面

(2)若二面角的大小为,求.

查看答案和解析>>

科目:高中数学 来源:2015-2016学年浙江台州市高二下学期期中数学试卷(解析版) 题型:填空题

已知点在曲线(其中为自然对数的底数)上运动,则曲线在点处的切线斜率最小时的切线方程为______

查看答案和解析>>

科目:高中数学 来源:2015-2016学年浙江台州市高二下学期期中数学试卷(解析版) 题型:选择题

已知函数,且,则的值是

A. B. C. D.

查看答案和解析>>

科目:高中数学 来源:2015-2016学年黑龙江绥棱县一中高二6月月考数学(文)试卷(解析版) 题型:解答题

在直角坐标系中,以为圆心的圆与直线相切.

(1)求圆的方程;

(2)圆轴相交于两点,圆内的动点使成等比数列,求的取值范围.

查看答案和解析>>

科目:高中数学 来源:2015-2016学年黑龙江绥棱县一中高二6月月考数学(文)试卷(解析版) 题型:选择题

下列说法正确的是( )

A.命题p:“”,则p是真命题

B.“”是“”的必要不充分条件

C.命题“使得”的否定是:“

D.“”是“上为增函数”的充要条件

查看答案和解析>>

科目:高中数学 来源:2015-2016学年甘肃天水三中高一下学期期中数学试卷(解析版) 题型:选择题

函数的值域是

A. B. C. D.

查看答案和解析>>

同步练习册答案