精英家教网 > 高中数学 > 题目详情

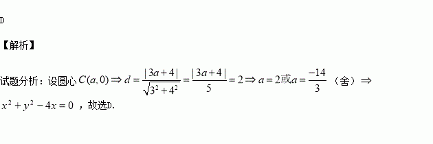
已知圆C的半径为,圆心在轴的正半轴上,直线与圆C相切,则圆C的方

程( )

A. B.

C. D.

练习册系列答案
相关习题

科目:高中数学 来源:2015-2016新疆哈密地区二中高二下期末考试文科数学卷(解析版) 题型:解答题

已知点,参数,点Q在曲线C:上.

(1)求点P的轨迹方程和曲线C的直角坐标方程;

(2)求点P与点Q之间距离的最小值.

查看答案和解析>>

科目:高中数学 来源:2016-2017学年四川省高二上学期周考数学卷3(解析版) 题型:解答题

已知以点为圆心的圆经过点,且圆心在直线上.

(1)求圆的方程;

(2)设点在圆上,求的面积的最大值.

查看答案和解析>>

科目:高中数学 来源:2016-2017学年四川省高二上学期周考数学卷2(解析版) 题型:选择题

若两平行直线之间的距离是,则

( )

A. B. C. D.

查看答案和解析>>

科目:高中数学 来源:2016-2017学年四川省高二上小班周考数学试卷3(解析版) 题型:填空题

直线,若,则

查看答案和解析>>

科目:高中数学 来源:2016-2017学年四川省高二上小班周考数学试卷2(解析版) 题型:填空题

已知直线与圆心为的圆相交于两点,且为等边

三角形,则实数

查看答案和解析>>

科目:高中数学 来源:2016-2017学年四川省高二上小班周考数学试卷2(解析版) 题型:选择题

过两直线的交点和原点的直线方程为( )

A. B. C. D.

查看答案和解析>>

科目:高中数学 来源:2017届湖北省沙市高三上学期第二次考试理科数学卷(解析版) 题型:解答题

设函数

(1)当时,求的最小值;

(2)如果对,求实数的取值范围.

查看答案和解析>>

科目:高中数学 来源:2017届河北省高三上学期周考理科数学卷(解析版) 题型:解答题

已知函数的定义域为,函数的值域为,求.

查看答案和解析>>

同步练习册答案