精英家教网 > 高中数学 > 题目详情

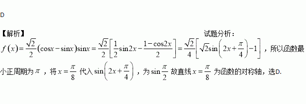
已知函数,则函数满足( )

A. 最小正周期为 B. 图象关于点对称

C. 在区间上为减函数 D. 图象关于直线对称

练习册系列答案
相关习题

科目:高中数学 来源:2015-2016学年湖南衡阳县四中高一下期期末数学试卷(解析版) 题型:选择题

10名工人某天生产同一零件,生产的件数是15,17,14,10,15,17,17,16,14,12.设其平均数为a,中位数为b,众数为c,则有( ).

A.a>b>c B.b>c>a C.c>a>b D.c>b>a

查看答案和解析>>

科目:高中数学 来源:2017届河南息县第一高级中学高三上阶段测三数学(文)试卷(解析版) 题型:选择题

已知是定义在上的偶函数,且在区间上单调递增,若实数满足

,则的取值范围是( )

A. B.

C. D.

查看答案和解析>>

科目:高中数学 来源:2017届河北衡水中学高三上学期一调考试数学(文)试卷(解析版) 题型:解答题

已知函数,其中为常数.

(1)若曲数在点处的切线与直线垂直,求函数的单调递减区间;

(2)若函数在区间[1,3]上的最小值为,求的值.

查看答案和解析>>

科目:高中数学 来源:2017届河北衡水中学高三上学期一调考试数学(文)试卷(解析版) 题型:选择题

为非零向量,,两组向量均由2个和2个

列而成,若所有可能取值中的最小值为,则的夹角为( )

A. B. C. D.0

查看答案和解析>>

科目:高中数学 来源:2017届河北衡水中学高三上学期一调考试数学(文)试卷(解析版) 题型:选择题

复数=( )

A. B. C. D.

查看答案和解析>>

科目:高中数学 来源:2017届河北衡水中学高三上学期一调考试数学(理)试卷(解析版) 题型:解答题

中,角的对边分别为,且

(1)求的值;

(2)若成等差数列,且公差大于,求的值.

查看答案和解析>>

科目:高中数学 来源:2017届河北衡水中学高三上学期一调考试数学(理)试卷(解析版) 题型:选择题

已知为虚数单位,复数满足,则为( )

A. B. C. D.

查看答案和解析>>

科目:高中数学 来源:2015-2016学年辽宁瓦房店市高二下期末数学(理)试卷(解析版) 题型:选择题

已知分别是椭圆的左、右焦点,是椭圆上位于第一象限内的一点,为坐标原点,,若椭圆的离心率等于,则直线的方程是( )

A. B. C. D.

查看答案和解析>>

同步练习册答案