精英家教网 > 高中数学 > 题目详情
以椭圆的焦点为顶点、顶点为焦点的双曲线方程是( )
A.
B.
C.
D.
【答案】分析:先求出椭圆的焦点与顶点即所求双曲线的顶点与焦点可知且焦点位置确定,即可求解双曲线的方程
解答:解:∵椭圆的焦点在y轴上且a=7,b=,c==5
∴椭圆的焦点为(0,5),(0,-5),顶点为(0,7),(0,-7)
∴双曲线的顶点(0,5),(0,-5),焦点(0,7),(0,-7)
∴a=5,c=7,b=2
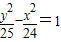
∴双曲线方程是
故选C
点评:本题主要考查了利用椭圆与双曲线的性质求解双曲线的方程,解题的关键是熟练掌握椭圆与双曲线的性质,正确找出题中的相关量
练习册系列答案
相关习题

科目:高中数学 来源: 题型:

以椭圆2x2+y2=1的顶点为焦点,以椭圆的焦点为顶点的双曲线方程为
 

查看答案和解析>>

科目:高中数学 来源: 题型:

(文科)已知椭圆的方程为3x2+y2=18.
(1)求椭圆的焦点坐标及离心率;
(2)求以椭圆的焦点为顶点、顶点为焦点的双曲线方程.

查看答案和解析>>

科目:高中数学 来源: 题型:

求以椭圆的两顶点为焦点,以椭圆的焦点为顶点的双曲线方程。

查看答案和解析>>

科目:高中数学 来源:2014届吉林省高二11月月考理科数学试卷(解析版) 题型:选择题

以椭圆的焦点为顶点、顶点为焦点的的双曲线方程是

A.       B.

C.      D.

 

查看答案和解析>>

科目:高中数学 来源:2011年湖南省长沙市高二上学期期末检测数学文卷 题型:填空题

以椭圆的焦点为顶点,以椭圆的顶点为焦点的双曲线方程为

                      

 

查看答案和解析>>

同步练习册答案