精英家教网 > 高中数学 > 题目详情

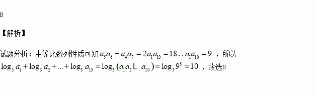
等比数列的各项均为正数,且,则

A. B.

C. D.

练习册系列答案
相关习题

科目:高中数学 来源:2015-2016学年甘肃省高一上学期期中数学试卷(解析版) 题型:解答题

(本小题满分12分)若函数是定义在上的偶函数,且当时,

(1)写出函数的解析式.

(2)若函数,求函数的最小值.

查看答案和解析>>

科目:高中数学 来源:2016届山东省高三第二次诊断性考试文科数学试卷(解析版) 题型:选择题

已知是奇函数,且满足,当时,,则当时,的最小值为( )

A. B. C. D.

查看答案和解析>>

科目:高中数学 来源:2016届河南省原名校高三上学期第一次联考文科数学试卷(解析版) 题型:填空题

求值:

查看答案和解析>>

科目:高中数学 来源:2015-2016学年浙江省宁波市高一上期中数学试卷(解析版) 题型:选择题

,则下列不等式成立的是( )

A. B. C. D.

查看答案和解析>>

科目:高中数学 来源:2015-2016学年四川绵阳南山中学高二上期中理科数学试卷(解析版) 题型:解答题

(本题满分10分)

已知一圆经过点,且它的圆心在直线上.

(1)求此圆的方程;

(2)若点为所求圆上任意一点,且点,求线段的中点的轨迹方程.

查看答案和解析>>

科目:高中数学 来源:2015-2016学年湖北省高二上期中文科数学试卷(解析版) 题型:解答题

(本小题满分13分)已知△的两个顶点的坐标分别是,且所在直线的斜率之积等于

(1)求顶点的轨迹的方程,并判断轨迹为何种曲线;

(2)当时,点为曲线 C上点, 且点为第一象限点,过点作两条直线与曲线C交于两点,直线斜率互为相反数,则直线EF斜率是否为定值,若是,求出定值,若不是,请说明理由.

查看答案和解析>>

科目:高中数学 来源:2015-2016学年陕西省高二上学期期中考试数学试卷(解析版) 题型:填空题

已知0<2a<1,若A=1+a2, B=, 则A与B的大小关系是

查看答案和解析>>

科目:高中数学 来源:2014-2015学年浙江省等三校高二上学期期中考试数学试卷(解析版) 题型:解答题

设等差数列{an}满足a3=5,a10=-9.

(1)求{an}的通项公式;

(2)求{an}的前n项和Sn及使得Sn最大的序号n的值.

查看答案和解析>>

同步练习册答案