精英家教网 > 高中数学 > 题目详情
(选做题)
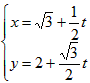
已知直线l的参数方程为(t为参数),曲线C的参数方程为(θ为参数)。
(I)将曲线C的参数方程转化为普通方程;
(II)若直线l与曲线C相交于A、B两点,试求线段AB的长。

解:(I)由得,
故圆的方程为x2+y2=16;
(II)把代入方程x2+y2=16,
整理的
设A,B对应的参数为t1,t2,则

练习册系列答案
相关习题

科目:高中数学 来源: 题型:

(坐标系与参数方程选讲选做题)已知直线l的参数方程为:
x=2t
y=1+4t
(t为参数),圆C的极坐标方程为ρ=2
2
sinθ
,则直线l与圆C的位置关系为
 

查看答案和解析>>

科目:高中数学 来源: 题型:

(坐标系与参数方程选做题) 已知直线l的参数方程为
x=
2
2
t
y=1+
2
2
t
(t为参数),圆C的参数方程为
x=cosθ+2
y=sinθ
(θ为参数),则圆心C到直线l的距离为
3
2
2
3
2
2

查看答案和解析>>

科目:高中数学 来源: 题型:

(坐标系与参数方程选做题)已知直线l的参数方程为
x=2t-1 
y=4-2t .
(参数t∈R),若圆C的极坐标方程为ρ=2cosθ,则圆心C到直线l的距离为
2
2

查看答案和解析>>

科目:高中数学 来源: 题型:

(2012•韶关二模)(坐标系与参数方程选做题)
已知直线l方程是
x=1+t
y=t-1
(t为参数),以坐标原点为极点,x轴的正半轴为极轴建立极坐标系,圆C的极坐标方程为ρ=1,则圆C上的点到直线l的距离最小值是
2
-1
2
-1

查看答案和解析>>

科目:高中数学 来源: 题型:

(坐标系与参数方程选做题)已知直线l:
x=-4+t
y=3+t
(t为参数)与圆C:
x=-1+2cosθ
y=2+2sinθ
(θ为参数),则直线与圆的公共点个数为
0
0
个.

查看答案和解析>>

同步练习册答案