精英家教网 > 高中数学 > 题目详情

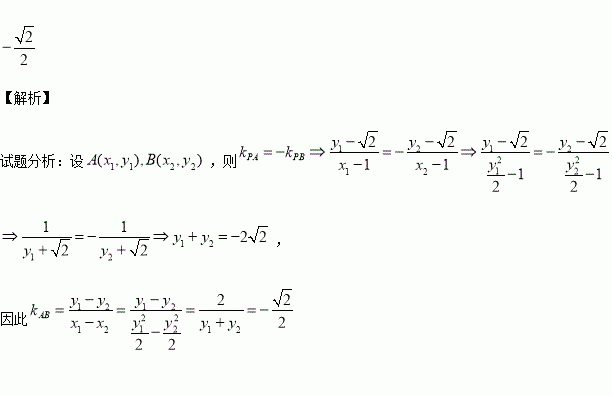
已知抛物线,过抛物线上一点作倾斜角互补的两条直线,分别交抛物线两点.则直线的斜率为 .

练习册系列答案
相关习题

科目:高中数学 来源:2016届江苏省高三上学期期中考试数学试卷(解析版) 题型:解答题

已知直线与圆相交于A,B两点,弦AB的中点为

(1)求实数的取值范围以及直线的方程;

(2)若以AB为直径的圆过原点O,求圆C的方程.

查看答案和解析>>

科目:高中数学 来源:2015-2016学年江苏省无锡市四校高一上学期期中考试数学试卷(解析版) 题型:解答题

设函数是定义域为的奇函数.

(1)求值;

(2)若,试判断函数单调性,并求使不等式恒成立的的取值范围;

(3)若,设上的最小值为,求的值.

查看答案和解析>>

科目:高中数学 来源:2014-2015学年贵州省高二上学期半期考试理科数学试卷(解析版) 题型:解答题

已知双曲线与椭圆共焦点,且以为渐近线,求双曲线方程.

查看答案和解析>>

科目:高中数学 来源:2015-2016年湖北武汉华中师大一附高二上期中文科数学卷(解析版) 题型:选择题

已知抛物线的焦点为F,直线与C交于A,B(A在x轴上方)两点.若

,则的值为( )

A. B. C.2 D.3

查看答案和解析>>

科目:高中数学 来源:2016上海复旦大学附中届高三上期中理科数学试卷(解析版) 题型:选择题

都是定义在上的函数,则“同是奇函数或同是偶函数”是“是偶函数”的( )

A、充分非必要条件. B、必要非充分条件.

C、充要条件. D、既非充分又非必要条件

查看答案和解析>>

科目:高中数学 来源:2016届河北省高三上学期四调文科数学试卷(解析版) 题型:填空题

已知表示两个不同的平面,为平面内的一条直线,则“”是“”的 条件.(横线上填“充分不必要”,“必要不充分条件”,“充要”,“既不充分也不必要”中的一个)

查看答案和解析>>

科目:高中数学 来源:2015-2016学年吉林省高二11月月考理科数学卷(解析版) 题型:选择题

给出下列四个命题:

① 如果命题“”与命题“”都是真命题,那么命题一定是真命题;

② 命题“若,则”的否命题是:“若,则”;

③ 若命题,则

④ 设是首项大于零的等比数列,则“”是“数列是递增数列”的充分而不必

要条件. 其中为真命题的个数是( )

A.4个 B.3个 C.2个 D.1个

查看答案和解析>>

科目:高中数学 来源:2016届湖北武汉华中师大一附等高三上第一次联考文数学卷(解析版) 题型:选择题

若函数对任意满足,则下列不等式成立的是( )

A. B.

C. D.

查看答案和解析>>

同步练习册答案