精英家教网 > 高中数学 > 题目详情

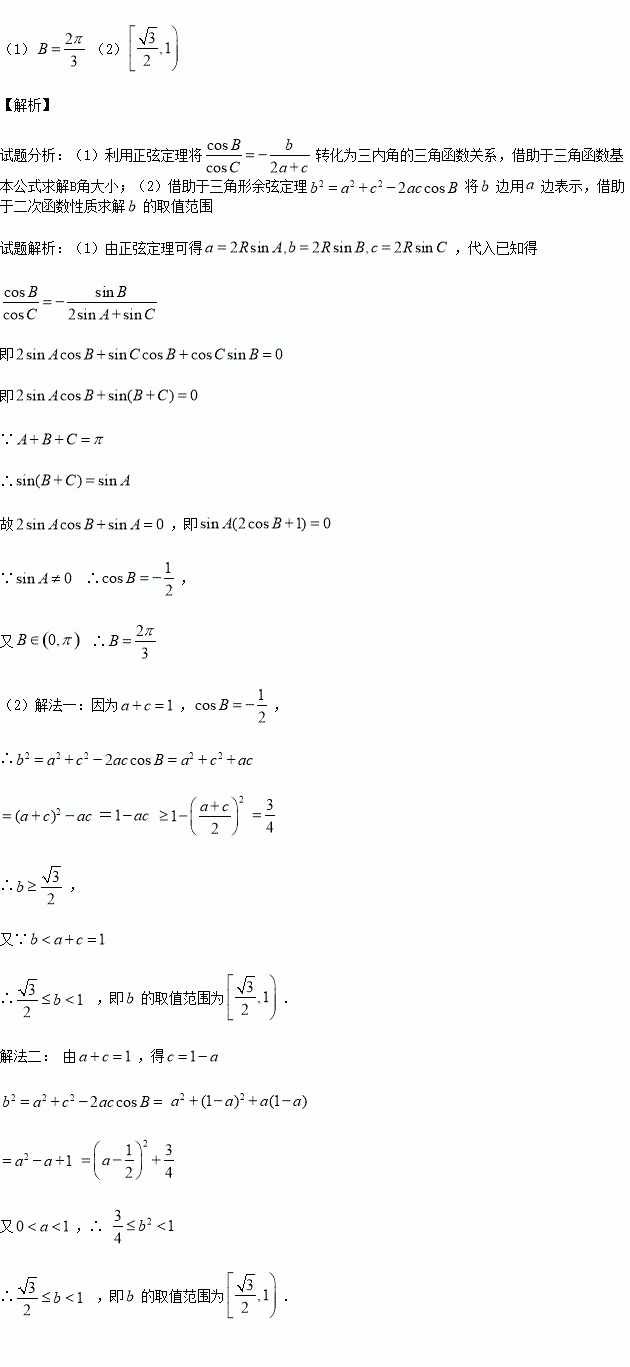
(本小题满分12分)在△ABC中,a,b,c分别是角A,B,C的对边,且

(1)求角B的大小;

(2)若,求实数b的取值范围.

练习册系列答案
相关习题

科目:高中数学 来源:2015-2016学年辽宁省葫芦岛市高一上学期期中考试数学试卷(解析版) 题型:选择题

已知函数y=f(x)是偶函数,其图象与x轴有四个交点,则方程f(x)=0的所有实根之和是( )

A.0 B.1 C.2 D.4

查看答案和解析>>

科目:高中数学 来源:2015-2016学年吉林省扶余市高一上学期期中考试数学试卷(解析版) 题型:解答题

计算:

(1)

(2)2lg5+lg8+lg5×lg20+lg22.

查看答案和解析>>

科目:高中数学 来源:2015-2016学年湖南省高二上学期期中考试理科数学试卷(解析版) 题型:填空题

若方程表示椭圆,则k的取值范围为__________.

查看答案和解析>>

科目:高中数学 来源:2015-2016学年福建省高一上学期期中考试数学试卷(解析版) 题型:填空题

已知全集,则集合的子集的个数是

查看答案和解析>>

科目:高中数学 来源:2015-2016学年福建省高二上学期期中考试文科数学试卷(解析版) 题型:选择题

对于实数,下列结论中正确的是( )

A.

B.

C.若,,则

D.

查看答案和解析>>

科目:高中数学 来源:2014-2015学年上海市高二下学期期末考试数学试卷(解析版) 题型:解答题

(本题满分14分) 本题共有2个小题,第1小题满分6分,第2小题满分8分.

已知圆

(1)求过点的圆C的切线的方程;

(2)如图,为圆C上一动点,点P在AM上,点N在CM上,且满足的轨迹.

查看答案和解析>>

科目:高中数学 来源:2015-2016学年辽宁省大连市高二上期中文科数学试卷(解析版) 题型:填空题

曲线是平面内与两个定点的距离的积等于常数的点的轨迹,给出下列四个结论:

①曲线关于坐标轴对称;

②曲线过点

③若点在曲线上(不在轴上),则的面积不大于.

其中,所有正确结论的序号是________ .

查看答案和解析>>

科目:高中数学 来源:2015-2016学年湖北省宜昌市高二上期中理科数学试卷(解析版) 题型:选择题

对于给定的两个变量的统计数据,下列说法正确的是(

A、都可以分析出两个变量的关系

B、都可以用一条直线近似地表示两者的关系

C、都可以作出散点图

D、都可以用确定的表达式表示两者的关系

查看答案和解析>>

同步练习册答案