精英家教网 > 高中数学 > 题目详情
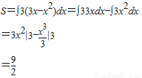
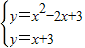
曲线y=x2-2x+3与直线y=x+3所围成图形的面积为( )
A.3
B.
C.
D.5
【答案】分析:先联立曲线方程与直线方程,求出交点横轴标,将围成图形的面积用定积分表示出来,然后根据定积分的定义进行计算即可.
解答:解:联立方程组得到交点横坐标为x1=0,x2=3,所求图形的面积为
 
故选C.
点评:本题主要考查了定积分在求面积中的应用,其中定积分的计算是解题的关键,属于基础题.
练习册系列答案
相关习题

科目:高中数学 来源: 题型:

24、已知曲线y=x2+2x在点(1,f(1))处的切线为l.求l的方程.

查看答案和解析>>

科目:高中数学 来源: 题型:

在平面直角坐标系xOy中,曲线y=x2-2x-3与两条坐标轴的三个交点都在圆C上.若圆C与直线x-y+a=0交于A,B两点,
(1)求圆C的方程;
(2)若|AB|=2
3
,求a的值;
(3)若 OA⊥OB,(O为原点),求a的值.

查看答案和解析>>

科目:高中数学 来源: 题型:

由曲线y=x2-2x与直线x+y=0所围成的封闭图形的面积为(  )

查看答案和解析>>

科目:高中数学 来源: 题型:

曲线y=x2-2x+3与直线y=x+3所围成图形的面积为(  )

查看答案和解析>>

科目:高中数学 来源: 题型:

已知b是a,c的等差中项,且曲线y=x2-2x+6的顶点是(a,c),则b等于(  )

查看答案和解析>>

同步练习册答案