精英家教网 > 高中数学 > 题目详情

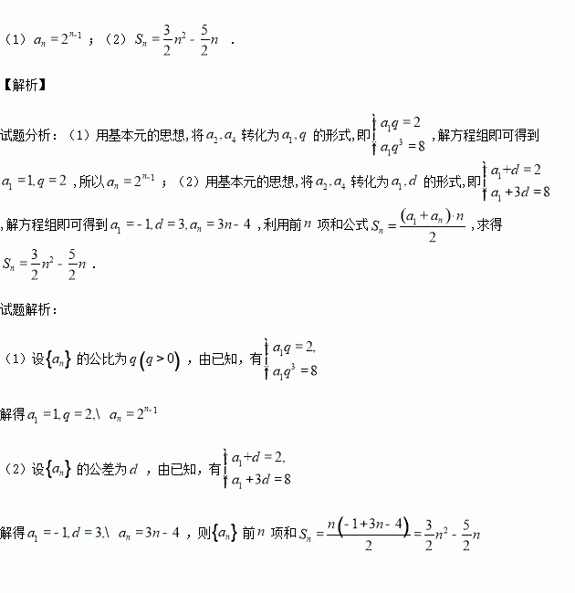
在数列的中,

(1)若为正项等比数列,求

(2)若为等差数列,求项和

练习册系列答案
相关习题

科目:高中数学 来源:2015-2016学年江西省高二5月月考文科数学试卷(解析版) 题型:解答题

已知函数为大于零的常数.

(1)若函数内单调递增,求a的取值范围;

(2)求函数在区间[1,2]上的最小值.

查看答案和解析>>

科目:高中数学 来源:2016届安徽省高三下组卷二理科数学试卷(解析版) 题型:选择题

是非零向量.已知命题,则;命题,则.则下列命题中真命题是( )

A. B. C. D.

查看答案和解析>>

科目:高中数学 来源:2015-2016学年贵州遵义航天高中高二下期中文科数学试卷(解析版) 题型:选择题

已知直线与曲线相切,则的值为( )

A. B. C. D.

查看答案和解析>>

科目:高中数学 来源:2015-2016学年贵州遵义航天高中高二下期中文科数学试卷(解析版) 题型:选择题

已知x与y之间的一组数据:

则y与x的线性回归方程为必过点( )

A.(2,2) B.(1,2) C.(1.5 ,0) D.(1.5 ,4)

查看答案和解析>>

科目:高中数学 来源:2015-2016学年贵州贵阳六中高二下期中理科数学试卷(解析版) 题型:填空题

查看答案和解析>>

科目:高中数学 来源:2015-2016学年贵州贵阳六中高二下期中理科数学试卷(解析版) 题型:选择题

函数的图象的一条对称轴是( )

A. B. C. D.

查看答案和解析>>

科目:高中数学 来源:2015-2016学年贵州贵阳六中高二下期中理科数学试卷(解析版) 题型:选择题

直线过点且与直线平行,则直线的方程为( )

A. B. C. D.

查看答案和解析>>

科目:高中数学 来源:2015-2016学年四川绵阳南山中学高二下期中理科数学卷(解析版) 题型:选择题

已知函数的一个极值点是,则的最小值是( )

A.10 B. C. D.

查看答案和解析>>

同步练习册答案