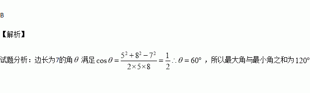
精英家教网 > 高中数学 > 题目详情

边长为5、7、8的三角形的最大角与最小角之和为( )

A、90° B、120° C、135° D、150°

练习册系列答案
相关习题

科目:高中数学 来源:2015-2016学年河北省高二上学期第二次月考理数学试卷(解析版) 题型:选择题

用秦九韶算法计算多项式时的值时,的值为( )

A.-845 B.220 C.-57 D.34

查看答案和解析>>

科目:高中数学 来源:2015-2016学年安徽省合肥市高二上开学考试理科数学试卷(解析版) 题型:填空题

设x,y满足约束条件则z=x+2y的最大值为_______.

查看答案和解析>>

科目:高中数学 来源:2015-2016学年河北省高二10月月考数学试卷(解析版) 题型:选择题

如果实数满足条件 ,那么的最大值为( )

A.2 B.1 C.-2 D.-3

查看答案和解析>>

科目:高中数学 来源:2015-2016学年河北省高二上学期第一次月考试数学试卷(解析版) 题型:选择题

在△ABC中,A=45o,B=30o,b=2,则a的值为( )

A.4 B.2 C. D.3

查看答案和解析>>

科目:高中数学 来源:2015-2016学年黑龙江省高一上学期第一阶段考数学试卷(解析版) 题型:选择题

,则( )

A. B.0 C. D.

查看答案和解析>>

科目:高中数学 来源:2015-2016学年陕西省西安市高一第一次月考数学试卷(解析版) 题型:解答题

(12分)已知函数

(1)当时,求函数的最大值和最小值;

(2)求实数的取值范围,使在区间上是单调函数

查看答案和解析>>

科目:高中数学 来源:2015-2016学年陕西省西安市高二10月月考理科数学试卷(解析版) 题型:选择题

在△ABC中,内角A,B,C所对的边分别是a,b,c.若3a=2b,则的值为( )

A.- B. C.1 D.

查看答案和解析>>

科目:高中数学 来源:2016届广东省广州市荔湾区高三上学期调研测试一文科数学试卷(解析版) 题型:选择题

为实数,且,则

A. B. C. D.

查看答案和解析>>

同步练习册答案