精英家教网 > 高中数学 > 题目详情

是定义在上的减函数,满足.

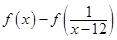
(1)求证:

(2)若,解不等式.

 

【答案】

(1)详见解析;(2).

【解析】

试题分析:(1)本题中,是抽象函数,其解析式不能求出,由要证明的式子,对比可知,应将移到等式的右边,即证明,然后将视作条件中的,即可得证;(2)由第一问可将转化为,再由

结合求出,最后由的单调性求出不等式的解集.

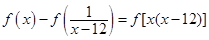
试题解析:(1)由条件可得

         4分

(2).即    8分

由第(1)问可得,又是定义在上的减函数,,由,即.

,得.又,所以        14分

考点:1.抽象函数恒等式的证明;2.抽象函数的单调性;3.赋值法求值.

 

练习册系列答案
相关习题

科目:高中数学 来源:2015届福建省高一第一次月考数学试卷(解析版) 题型:解答题

已知函数是定义在上的减函数,且,求实数的取值范围。

 

查看答案和解析>>

科目:高中数学 来源:2012-2013学年湖北省枣阳一中宜城一中曾都一中高三上期中理科数学试卷(解析版) 题型:选择题

已知函数  是定义在上的减函数,函数  的图象关于点 对称. 若对任意的 ,不等式  恒成立,的最小值是(  )

  A、0          B、1           C、2         D、3

 

查看答案和解析>>

科目:高中数学 来源:2014届广东始兴县风度中学高一数学竞赛试卷(解析版) 题型:解答题

(本小题满分14分)

设函数是定义在上的减函数,并且满足

(1)求的值, (2)如果,求x的取值范围。(16分)

 

查看答案和解析>>

科目:高中数学 来源:2011-2012学年海南省高三第一次月考理科数学试卷(解析版) 题型:解答题

设函数是定义在上的减函数,并且满足

(1)求的值, (2)如果,求x的取值范围。(12分)

 

查看答案和解析>>

同步练习册答案