精英家教网 > 高中数学 > 题目详情

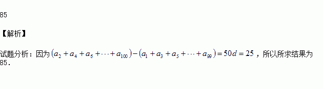
等差数列{an}中,公差为,且a1+a3+a5+…+a99=60,则a2+a4+a6+…+a100=______.

练习册系列答案
相关习题

科目:高中数学 来源:2015-2016学年辽宁省高二上10月月考文科数学试卷(解析版) 题型:解答题

(2015秋•沈阳校级月考)某企业为了解下属某部门对本企业职工的服务情况,随机访问50名职工,根据这50名职工对该部门的评分,绘制频率分布直方图(如图所示),其中样本数据分组区间为[40,50],[50,60],…,[80,90],[90,100]

(Ⅰ)求频率分布图中a的值;

(Ⅱ)估计该企业的职工对该部门评分不低于80的概率;

(Ⅲ)求出本次评分的众数、中位数、平均数.

查看答案和解析>>

科目:高中数学 来源:2015-2016学年河南省高二上12月月考文科数学试卷(解析版) 题型:填空题

(2015秋•东营校级期中)已知f(x)=x2+2xf′(1),则f′(0)=

查看答案和解析>>

科目:高中数学 来源:2015-2016学年山东省乐陵市高一上学期期中考试数学试卷(解析版) 题型:选择题

函数的定义域为,则实数的取值范围是( )

A. B. C. D.

查看答案和解析>>

科目:高中数学 来源:2015-2016学年江西省南昌市高一10月月考数学试卷(解析版) 题型:选择题

的定义域是( )

A.

B.

C.

D.

查看答案和解析>>

科目:高中数学 来源:2015-2016学年河南省英文学校高二上学期期中考试数学试卷(解析版) 题型:选择题

已知不等式的解集是,则不等式的解集是( )

A. B.(-∞,2)∪(3,+∞)

C.(2,3) D.

查看答案和解析>>

科目:高中数学 来源:2016届四川省成都市高三11月段测三文科数学试卷(解析版) 题型:填空题

己知a,b∈[0,1],则S(a,b)= +(1a)(1-b)的最小值为

查看答案和解析>>

科目:高中数学 来源:2016届江西省高三上学期第三次考试理科数学试卷(解析版) 题型:解答题

已知等差数列满足:,其中为数列的前n项和.

(Ⅰ)求数列的通项公式;

(Ⅱ)若Equation Section (Next),且成等比数列,求的值。

查看答案和解析>>

科目:高中数学 来源:2015-2016学年安徽师大附中高二上学期期中理科数学试卷(解析版) 题型:选择题

已知直线l:(A,B不全为0),两点,若,且,则( )

A.直线l与直线P1P2不相交

B.直线l与线段P2 P1的延长线相交

C.直线l与线段P1 P2的延长线相交

D.直线l与线段P1P2相交

查看答案和解析>>

同步练习册答案