精英家教网 > 高中数学 > 题目详情
某批产品成箱包装,每箱5件,一用户在购进该批产品前先取出3箱,再从每箱中任意抽取2件产品进行检验,设取出的第一、二、三箱中分别有0件、1件、2件二等品,其余为一等品,
(Ⅰ)求恰有一件抽检的6件产品中二等品的概率;
(Ⅱ)若抽检的6件产品中有2件或2件以上二等品,用户就拒绝购买这批产品,求这批产品被用户拒绝购买的概率。
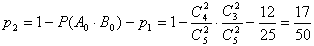
解:设Ai表示事件“第二箱中取出i件二等品”,i=0,1;
Bi表示事件“第三箱中取出i件二等品”,i=0,1,2,
(Ⅰ)依题意所求的概率为

(Ⅱ)所求的概率为
练习册系列答案
相关习题

科目:高中数学 来源: 题型:

某批产品成箱包装,每箱5件,一用户在购进该批产品前先取出3箱,再从每箱中任意出取2件产品进行检验.设取出的第一、二、三箱中分别有0件、1件、2件二等品,其余为一等品.
(1)用ξ表示抽检的6件产品中二等品的件数,求ξ的分布列及ξ的数学期望;
(2)若抽检的6件产品中有2件或2件以上二等品,用户就拒绝购买这批产品,求这批产品被用户拒绝的概率.

查看答案和解析>>

科目:高中数学 来源: 题型:

某批产品成箱包装,每箱5件.一用户在购进该批产品前先取出3箱,再从每箱中任意抽取2件产品进行检验.设取出的第一、二、三箱中分别有0件、1件、2件二等品,其余为一等品.用ξ表示抽检的6件产品中二等品的件数.
(Ⅰ)求在抽检的6件产品中恰有一件二等品的概率;
(Ⅱ)求ξ的分布列和数学期望值;
(Ⅲ)若抽检的6件产品中有2件或2件以上二等品,用户就拒绝购买这批产品,求这批产品被用户拒绝的概率.

查看答案和解析>>

科目:高中数学 来源: 题型:

某批产品成箱包装,每箱5件,一用户在购进该批产品前先取出3箱,再从每箱中任意出取2件产品进行检验.设取出的第一、二、三箱中分别有0件、1件、2件二等品,其余为一等品.
(I)求取6件产品中有1件产品是二等品的概率.
(II)若抽检的6件产品中有2件或2件以上二等品,用户就拒绝购买这批产品,求这批产品被用户拒绝的概率.

查看答案和解析>>

科目:高中数学 来源: 题型:

(2012•泸州模拟)某批产品成箱包装,每箱5件,一用户在购进该批产品前先随机取出3箱,再从每箱中任意抽取2件产品进行检验.设取出的第一、二、三箱中分别有0件、1件、2件二等品,其余为一等品.
(1)若抽检的6件产品中有2件或2件以上二等品,用户就拒绝购买这批产品,求这批产品被用户拒绝的概率;
(II)用ξ表示抽检的6件产品中二等品的件数,求ξ的分布列及ξ的数学期望.

查看答案和解析>>

科目:高中数学 来源: 题型:

(2013•揭阳二模)某批产品成箱包装,每箱5件.一用户在购进该批产品前先取出3箱,设取出的3箱中,第一、二、三箱中分别有0件、1件、2件二等品,其余为一等品.
(1)在取出的3箱中,若该用户从第三箱中有放回的抽取3次(每次一件),求恰有两次抽到二等品的概率;
(2)在取出的3箱中,若该用户再从每箱中任意抽取2件产品进行检验,用ξ表示抽检的6件产品中二等品的件数,求ξ的分布列及数学期望.

查看答案和解析>>

同步练习册答案