【答案】
分析:根据双曲线方程得它的左焦点为F(-

,0),结合抛物线基本概念与题意得准线为x=-

,由此建立关于p的方程并解之,即可得到实数p的值.
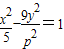
解答:解:∵双曲线

中,a=

,b=

p
∴双曲线的c=

=

由此可得双曲线的左焦点为F(-

,0)
∴抛物线y
2=2px(p>0)的准线为x=-

,
即-

=-

,解之得p=6(舍负)
故选:C
点评:本题给出含有参数p的双曲线与已知抛物线,在抛物线的准线经过双曲线的左焦点时求实数p之值.着重考查了抛物线的基本概念、双曲线的标准方程与简单几何性质等知识,属于基础题.