精英家教网 > 高中数学 > 题目详情

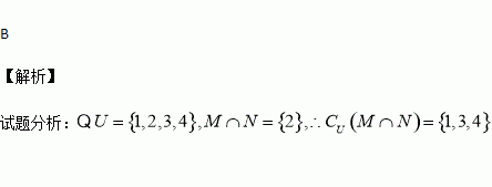
,则

A. B. C. D.

练习册系列答案
相关习题

科目:高中数学 来源:2016届河北省邯郸市高三一轮收官考试二理科数学试卷(解析版) 题型:选择题

已知某空间几何体的三视图如犹如所示,则该几何体的体积是( )

A.16 B.24 C.32 D.48

查看答案和解析>>

科目:高中数学 来源:2015-2016年湖南省株洲市高二上第二次月考文数学卷(解析版) 题型:选择题

若函数的图象如右图所示,则下列函数正确的是( )

查看答案和解析>>

科目:高中数学 来源:2015-2016学年河南省高二上期中文科数学试卷(解析版) 题型:选择题

在数列中,,则此数列最大项的值是

A. B. C. D.

查看答案和解析>>

科目:高中数学 来源:2015-2016学年河南省高二上期中理科数学试卷(解析版) 题型:选择题

中,若,则等于

A. B.

C. D.

查看答案和解析>>

科目:高中数学 来源:2015-2016学年河北邢台一中高二上第三次月考理科数学卷(解析版) 题型:选择题

在平面直角坐标系中,圆的方程为,直线过点且与直线垂直.若直线与圆交于两点,则的面积为( )

A.1 B. C.2 D.

查看答案和解析>>

科目:高中数学 来源:2015-2016学年福建省高一上期中数学试卷(解析版) 题型:解答题

已知函数

(1)若当上恒成立,求范围;

(2)解不等式

查看答案和解析>>

科目:高中数学 来源:2015-2016学年贵州省高二上滾动训练3数学试卷(解析版) 题型:解答题

已知,其中0<ω<2.函数,其图象的一条对称轴为x=

(1)求函数f(x)的表达式及单调递增区间;

(2)在△ABC中,a,b,c分别为角A,B,C的对边,S为其面积,若,b=1,S△ABC=,求a的值.

查看答案和解析>>

科目:高中数学 来源:2015-2016学年安徽省蚌埠市高二上期中理科数学试卷(解析版) 题型:选择题

已知实数满足约束条件,若目标函数的最大值为7,则的最小值为 ( )

A.3 B.4 C.7 D.12

查看答案和解析>>

同步练习册答案