精英家教网 > 高中数学 > 题目详情

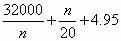
气象学院用32000元买了一台天文观测仪,已知这台观测仪从启用的第一天起连续使用,第n天的维修保养费为元,使用它直至“报废最合算”(所谓“报废最合算”是指使用的这台仪器的平均每天耗资最少)为止,一共使用了

[  ]
A.

600天

B.

800天

C.

1000天

D.

1200天

答案:B
解析:

  设一共使用了n天,则使用n天的平均耗资为,当且仅当时,

  取得最小值,此时n=800.


练习册系列答案
相关习题

科目:高中数学 来源:吉林省长春市2011届高三第二次模拟考试数学文科试题 题型:013

气象学院用32000元买了一台天文观测仪,已知这台观测仪从启用的第一天起连续使用,第n天的维修保养费为元,使用它直至“报废最合算”(所谓“报废最合算”是指使用的这台仪器的平均每天耗资最少)为止,一共使用了

[  ]
A.

600天

B.

800天

C.

1000天

D.

1200天

查看答案和解析>>

科目:高中数学 来源: 题型:

气象学院用32000元买了一台天文观测仪,已知这台观测仪从启用的第一天起连续使用,第天的维修保养费为元,使用它直至“报废最合算”(所谓“报废最合算”是指使用的这台仪器的平均每天耗资最少)为止,一共使用了

A.  600天                         B.  800天                  C.  1000天                D.  1200天

查看答案和解析>>

科目:高中数学 来源:模拟题 题型:单选题

气象学院用32000元买了一台天文观测仪,已知这台观测仪从启用的第一天起连续使用,第n天的维修保养费为(n∈N*)元,使用它直至“报废最合算” (所谓“报废最合算”是指使用的这台仪器的平均每天耗资最少)为止,一共使用了
[     ]
A.600天
B.800天
C.1000天
D.1200天

查看答案和解析>>

科目:高中数学 来源:吉林省模拟题 题型:单选题

气象学院用32000元买了一台天文观测仪,已知这台观测仪从启用的第一天起连续使用,第n天的维修保养费为+4.9(n∈N*)元,使用它直至“报废最合算”(所谓“报废最合算”是指使用的这台仪器的平均每天耗资最少)为止,一共使用了
[     ]
A.600天
B.800天
C.1000天
D.1200天

查看答案和解析>>

同步练习册答案