精英家教网 > 高中数学 > 题目详情
椭圆C :(a>b>0) 的离心率为,长轴端点与短轴端点间的距离为
(1)求椭圆C的方程;
(2)过点D(0,4)的直线l与椭圆C交于两点E,F,O为坐  标原点,若OE⊥OF,求直线l的斜率.
解:(1) 由已知,a2+b2=5.又a2= b2+c2,解得a2=4,b2=1,
所以椭圆C的方程为
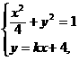
(2)根据题意,过点D(0,4)满足题意的直线斜率存在,
设l:y= kx +4.
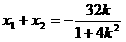
联立消去y得(1+4k2)x2+32kx+60=0.
由题知Δ=(32k)2-240(1+4k2)=64k2-240>0,解得
设E,F两点的坐标分别为(x1,y1),(x2,y2),

因为OE⊥OF,所以,即x1x2+y1y2=0,
所以(1+k2)x1x2+4k(x1+x2)+16=0,
所以,解得
所以直线l的斜率为
练习册系列答案
相关习题

科目:高中数学 来源:2013-2014学年人教版高考数学文科二轮专题复习提分训练24练习卷(解析版) 题型:选择题

已知椭圆C:+=1(a>b>0)的离心率为.双曲线x2-y2=1的渐近线与椭圆C有四个交点,以这四个交点为顶点的四边形的面积为16,则椭圆C的方程为(  )

(A) +=1 (B) +=1

(C) +=1 (D) +=1

 

查看答案和解析>>

科目:高中数学 来源:2013-2014学年人教版高考数学文科二轮专题复习提分训练22练习卷(解析版) 题型:解答题

已知椭圆C:+=1(a>b>0),左、右两个焦点分别为F1,F2,上顶点A(0,b),AF1F2为正三角形且周长为6.

(1)求椭圆C的标准方程及离心率;

(2)O为坐标原点,P是直线F1A上的一个动点,|PF2|+|PO|的最小值,并求出此时点P的坐标.

 

查看答案和解析>>

科目:高中数学 来源:2013-2014学年人教版高考数学文科二轮专题复习提分训练22练习卷(解析版) 题型:选择题

已知F是椭圆C:+=1(a>b>0)的右焦点,P在椭圆C,线段PF与圆x-2+y2=相切于点Q,=2,则椭圆C的离心率等于(  )

(A) (B) (C) (D)

 

查看答案和解析>>

科目:高中数学 来源:2013-2014学年人教版高考数学文科二轮专题复习提分训练22练习卷(解析版) 题型:解答题

已知椭圆C:+=1(a>b>0)的一个顶点为A(2,0),离心率为.直线y=k(x-1)与椭圆C交于不同的两点M,N.

(1)求椭圆C的方程;

(2)当△AMN的面积为,k的值.

 

查看答案和解析>>

科目:高中数学 来源:2013-2014学年人教版高考数学文科二轮专题复习提分训练22练习卷(解析版) 题型:选择题

设椭圆C:+=1(a>b>0)的左、右焦点分别为F1,F2,PC上的点,PF2F1F2,PF1F2=30°,C的离心率为(  )

(A) (B) (C) (D)

 

查看答案和解析>>

同步练习册答案