精英家教网 > 高中数学 > 题目详情
已知椭圆C的中心在原点,焦点在x轴上,椭圆C上的点到焦点的最大值为3,最小值为1,
(Ⅰ)求椭圆C的标准方程;
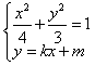
(Ⅱ)若直线l:y=kx+m(k≠0)与椭圆交于不同的两点M、N(M、N不是椭圆的左、右顶点),且以MN为直径的圆经过椭圆的右顶点A,求证:直线l过定点,并求出定点的坐标。
解:(Ⅰ)设椭圆的长半轴长为a,半焦距为c,
,解得
∴椭圆C的标准方程为
(Ⅱ)由方程组消去y,得(3+4k2)x2+8kmx+4m2-12=0,
由题意Δ=(8km)2-4(3+4k2)(4m2-12)>0,
整理得:3+4k2-m2>0, ①
设M(x1,y1)、N(x2,y2),

由已知,AM⊥AN,且椭圆的右顶点为A(2,0),
∴(x1-2)(x2-2)+y1y2=0,
即(1+k2)x1x2+(km-2)(x1+x2)+m2+4=0,
也即
整理得7m2+16mk+4k2=0,解得m=-2k或,均满足①.
当m=-2k时,直线l的方程为y=kx-2k,过定点(2,0),不符合题意,舍去;
时,直线l的方程为,过定点
故直线l过定点,且定点的坐标为
练习册系列答案
相关习题

科目:高中数学 来源:山东省济宁市2012届高二下学期期末考试理科数学 题型:解答题

(本小题满分14分) 已知在平面直角坐标系xoy中的一个椭圆,它的中心在原

点,左焦

(1)求该椭圆的标准方程;

(2)若P是椭圆上的动点,求线段PA中点M的轨迹方程;

(3)过原点O的直线交椭圆于点B、C,求△ABC面积的最大值。

 

查看答案和解析>>

科目:高中数学 来源:2012届山东省高二下学期期末考试理科数学 题型:解答题

(本小题满分14分) 已知在平面直角坐标系xoy中的一个椭圆,它的中心在原

(1)求该椭圆的标准方程;

(2)若P是椭圆上的动点,求线段PA中点M的轨迹方程;

(3)过原点O的直线交椭圆于点B、C,求△ABC面积的最大值。

 

查看答案和解析>>

同步练习册答案