精英家教网 > 高中数学 > 题目详情
已知(n展开式中,各项系数的和与其各项二项式系数的和之比为64,则展开式中的常数项等于( )
A.135
B.270
C.540
D.1080
【答案】分析:本题对于二项式系数的和可以通过赋值令x=1来求解,而各项二项式系数之和由二项式系数公式可知为2n,最后通过比值关系为64即可求出n的值是6.利用二项展开式的通项公式求出通项,令x的指数为0,求出r,将r的值代入通项求出展开式的常数项.
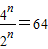
解答:解:令 中x为1得各项系数和为4n
又展开式的各项二项式系数和为2n
∵各项系数的和与各项二项式系数的和之比为64

解得n=6
展开式的通项为 Tr+1=3rC6rx3-r
令3-r=0得r=3
所以展开式的常数项为 T4=33C63=540
故选C.
点评:本题考查求展开式的各项系数和的重要方法是赋值法、考查利用二项展开式的通项公式解决二项展开式的特定项问题,解答关键是利用展开式的各项的二项式系数的和为2n
练习册系列答案
相关习题

科目:高中数学 来源: 题型:

已知(x2+
1x
n的展开式的各系数和为32,则展开式中x的系数为
10
10

查看答案和解析>>

科目:高中数学 来源: 题型:

已知二项式(5x-
1
x
)n
展开式中各项系数之和比各二项式系数之和大240,
(1)求n;
(2)求展开式中含x项的系数;
(3)求展开式中所有x的有理项.

查看答案和解析>>

科目:高中数学 来源:不详 题型:解答题

已知二项式(5x-
1
x
)n
展开式中各项系数之和比各二项式系数之和大240,
(1)求n;
(2)求展开式中含x项的系数;
(3)求展开式中所有x的有理项.

查看答案和解析>>

科目:高中数学 来源: 题型:

(本小题13分)已知二项式展开式中各项系数之和比各二项式系数之和大240,(1)求n; (2)求展开式中含项的系数;(3)求展开式中所有的有理项.

查看答案和解析>>

科目:高中数学 来源:2013年浙江省高考数学冲刺提优试卷(理科)(解析版) 题型:填空题

已知(x2+n的展开式的各系数和为32,则展开式中x的系数为   

查看答案和解析>>

同步练习册答案