精英家教网 > 高中数学 > 题目详情

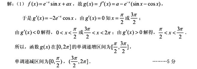
已知a为实常数,函数.

(1)记的导函数为,求上的单调区间;

(2)若的极大值和极小值恰好各有一个,求实数a的取值范围.

 

练习册系列答案
相关习题

科目:高中数学 来源: 题型:


函数f(x)=3sin的图象为C,如下结论中正确的是________

( 写出所有正确结论的编号 ).

①图象C关于直线x对称;

②图象C关于点对称;

③函数f(x)在区间内是增函数;

④由y=3sin2x的图象向右平移个单位长度可以得到图象C.

 

查看答案和解析>>

科目:高中数学 来源: 题型:


若函数的值是             (    )          

  A.         B.            C.          D.

 

查看答案和解析>>

科目:高中数学 来源: 题型:


记函数的最大值为M,最小值为m,则的值为         【   】

A、                    B、                      C、                            D、2

 

查看答案和解析>>

科目:高中数学 来源: 题型:


在矩形ABCD中,AB=3,AD=4,P为矩形ABCD所在平面上一点,满足PA=2,PC=,则                 .

 

查看答案和解析>>

科目:高中数学 来源:2014-2015学年江苏省扬州市高三上学期期末理科数学试卷(解析版) 题型:解答题

已知函数

(1)若f(x)的图象与g(x)的图象所在两条曲线的一个公共点在y轴上,且在该点处两条曲线的切线互相垂直,求b和c的值。

(2)若a=c=1,b=0,试比较f(x)与g(x)的大小,并说明理由;

(3)若b=c=0,证明:对任意给定的正数a,总存在正数m,使得当x时,

恒有f(x)>g(x)成立。

查看答案和解析>>

科目:高中数学 来源:2014-2015学年江苏省扬州市高三上学期期末理科数学试卷(解析版) 题型:填空题

设数列{}的前n项和为Sn,且,若对任意,都有,则实数p的取值范围是

查看答案和解析>>

科目:高中数学 来源:2014-2015学年江苏省泰州市高三上学期期末考试文科数学试卷(解析版) 题型:解答题

(本题满分14分)如图,在多面体中,四边形是菱形,相交于点,平面平面,点的中点.

(1)求证:直线平面

(2)求证:直线平面

查看答案和解析>>

科目:高中数学 来源:2014-2015学年江苏省泰州市高三上学期期末考试理科数学试卷(解析版) 题型:填空题

已知,则

查看答案和解析>>

同步练习册答案