精英家教网 > 高中数学 > 题目详情
已知=b+i(a,b∈R),其中i为虚数单位,则a+b=( )
A.-1
B.1
C.2
D.3
【答案】分析:由复数的运算化简式子的左边可得2-ai=b+i,由复数相等的定义可得:,解之可得答案.
解答:解:因为=b+i,而==2-ai,
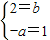
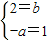
所以2-ai=b+i,由复数相等的充要条件可得:
解得a=-1,b=2,故a+b=-1+2=1,
故选B
点评:本题考查复数相等的充要条件和复数的化简运算,属基础题.
练习册系列答案
相关习题

科目:高中数学 来源:2011-2012学年湖南省长沙市长郡中学高二(下)3月模块考试数学试卷(文科)(解析版) 题型:填空题

已知=b-i(a,b∈R),其中i为虚数单位,则a+b=   

查看答案和解析>>

科目:高中数学 来源:2012-2013学年山东省青岛市即墨市高三(上)期末数学试卷(理科)(解析版) 题型:选择题

已知=b+i(a,b∈R),其中i为虚数单位,则b-a=( )
A.-1
B.1
C.2
D.3

查看答案和解析>>

科目:高中数学 来源:2012-2013学年山东省青岛市即墨市高三(上)期末数学试卷(文科)(解析版) 题型:选择题

已知=b+i(a,b∈R),其中i为虚数单位,则b-a=( )
A.-1
B.1
C.2
D.3

查看答案和解析>>

科目:高中数学 来源:2012-2013学年浙江省温州中学高三(上)期中数学试卷(解析版) 题型:选择题

已知=b+i(a,b∈R),其中i为虚数单位,则a+b=( )
A.-1
B.1
C.2
D.3

查看答案和解析>>

科目:高中数学 来源:2013年宁夏吴忠市回民中学高考数学一模试卷(文科)(解析版) 题型:选择题

已知=b+i(a,b∈R),其中i为虚数单位,则a+b=( )
A.-1
B.1
C.2
D.3

查看答案和解析>>

同步练习册答案