精英家教网 > 高中数学 > 题目详情

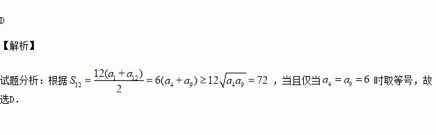
各项均为正数的等差数列中,,则前项和的最小值为( )

A. B. C. D.

练习册系列答案
相关习题

科目:高中数学 来源:2015-2016学年湖北省宜昌市高二上期中理科数学试卷(解析版) 题型:解答题

(12分)某人去开会,他乘火车、轮船、汽车、飞机去的概率分别为0.3,0.2,0.1,0.4.

(1)求他乘火车或乘飞机去的概率;

(2)求他不乘飞机去的概率;

(3)若他去的概率为0.5,请问他有可能是乘何种交通工具去的?

查看答案和解析>>

科目:高中数学 来源:2016届云南省玉溪市高三上学期期中理科数学试卷(解析版) 题型:选择题

设直线与曲线有三个不同的交点A、B、C,且|AB|=|BC|=,则直线的方程为( )

A. B. C. D.

查看答案和解析>>

科目:高中数学 来源:2016届辽宁省抚顺市高三上学期第一次模拟文科数学试卷(解析版) 题型:选择题

已知函数=( )

A. B. C. D.

查看答案和解析>>

科目:高中数学 来源:2016届黑龙江省牡丹江市高三上学期期中文科数学试卷(解析版) 题型:选择题

为等差数列的前n项和,,则( )

A. B. C. D.2

查看答案和解析>>

科目:高中数学 来源:2016届贵州省贵阳市高三上学期第三次月考文科数学试卷(解析版) 题型:选择题

设不等式组所表示的平面区域是,平面区域是与关于直线对称的区域,对于中的任意点中的任意点的最小值是( )

A. B. C. D.

查看答案和解析>>

科目:高中数学 来源:2016届福建省高三上学期期中理科数学试卷(解析版) 题型:选择题

已知为等比数列,,,则( )

A. B. C. D.

查看答案和解析>>

科目:高中数学 来源:2016届江西省南昌市高三上第四次考试文科数学试卷(解析版) 题型:选择题

向量满足则向量的夹角为( )

A. B. C. D.

查看答案和解析>>

科目:高中数学 来源:2016届浙江省嘉兴市高三上学期能力测试理科数学试卷(解析版) 题型:选择题

已知函数,且( )

A.若,则

B.若,则

C.若,则

D.若,则

查看答案和解析>>

同步练习册答案