精英家教网 > 高中数学 > 题目详情

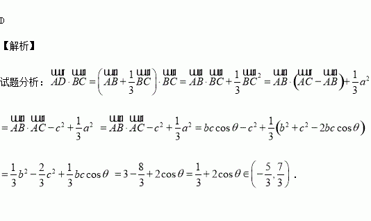
如图,在△中,已知,点的三等分点(靠近点),则的取值范围为( )

A. B. C. D.

练习册系列答案
相关习题

科目:高中数学 来源:2017届河北武邑中学高三上学期周考8.21数学(理)试卷(解析版) 题型:选择题

( )

A. B. C. 1 D. 0

查看答案和解析>>

科目:高中数学 来源:2017届重庆第八中学高三上学期第一次月考数学(文)试卷(解析版) 题型:解答题

已知函数.

(1)求函数的最小正周期和单调递减区间;

(2)若将函数的图象向左平移个单位后,得到的函数的图象关于直线轴对称,求实数的最小值.

查看答案和解析>>

科目:高中数学 来源:2017届天津耀华中学高三上学期开学考试数学(文)试卷(解析版) 题型:解答题

已知函数).

(1)当时,求的图象在处的切线方程;

(2)若函数的图象与轴有两个不同的交点),求证:(其中的导函数).

查看答案和解析>>

科目:高中数学 来源:2017届天津耀华中学高三上学期开学考试数学(文)试卷(解析版) 题型:填空题

如果实数满足不等式,那么的取值范围是

查看答案和解析>>

科目:高中数学 来源:2017届天津耀华中学高三上学期开学考试数学(文)试卷(解析版) 题型:选择题

已知,那么“”是“”的( )

A.充分而不必要条件 B.必要而不充分条件

C.充分必要条件 D.既不充分也不必要条件

查看答案和解析>>

科目:高中数学 来源:2017届山西怀仁县一中高三上学期开学考数学(文)试卷(解析版) 题型:解答题

为各项不相等的等差数列的前项和,已知,

(1)求数列通项公式;

(2)设为数列的前项和,求的最大值.

查看答案和解析>>

科目:高中数学 来源:2017届山西怀仁县一中高三上学期开学考数学(文)试卷(解析版) 题型:选择题

已知全集,则集合( )

A. B.

C. D.

查看答案和解析>>

科目:高中数学 来源:2017届江西上高县二中高三上学期开学考数学(理)试卷(解析版) 题型:选择题

,则不等式的解集是( )

A. B.

C. D.

查看答案和解析>>

同步练习册答案